2026年 第52卷 第1期
2026, 52(1): 1-17.
doi: 10.16383/j.aas.c250309
cstr: 32138.14.j.aas.c250309
摘要:
随着海洋开发不断推进, 水下目标追踪作为无人集群实现对作业目标持续接近的基础性技术, 在海上搜救、海洋监测、海底资源勘探等关键应用中发挥着重要作用. 同时, 海上跨域集群通过无人机、无人船与无人潜器等异构平台间的信息交互与自主协同, 能够在复杂海洋环境中实现对水下目标的高效探测与持续追踪, 相比单一水下域集群, 其在感知与作业能力的提升等方面具有巨大的潜力. 然而, 当前水下协同追踪技术仍存在感知测量能力不足、跨域协同机制不完善和环境适应性难以兼顾等挑战. 为此, 本文首先针对水下目标追踪的发展趋势进行分析; 同时, 面向追踪过程中定位、跟踪、通信与规划四个基础模块, 总结研究难点和挑战, 并梳理国内外研究进展; 最后, 针对联合设计等新颖的研究理念和前沿需求进行探讨, 以期为海上跨域集群水下目标追踪技术的发展提供参考.
随着海洋开发不断推进, 水下目标追踪作为无人集群实现对作业目标持续接近的基础性技术, 在海上搜救、海洋监测、海底资源勘探等关键应用中发挥着重要作用. 同时, 海上跨域集群通过无人机、无人船与无人潜器等异构平台间的信息交互与自主协同, 能够在复杂海洋环境中实现对水下目标的高效探测与持续追踪, 相比单一水下域集群, 其在感知与作业能力的提升等方面具有巨大的潜力. 然而, 当前水下协同追踪技术仍存在感知测量能力不足、跨域协同机制不完善和环境适应性难以兼顾等挑战. 为此, 本文首先针对水下目标追踪的发展趋势进行分析; 同时, 面向追踪过程中定位、跟踪、通信与规划四个基础模块, 总结研究难点和挑战, 并梳理国内外研究进展; 最后, 针对联合设计等新颖的研究理念和前沿需求进行探讨, 以期为海上跨域集群水下目标追踪技术的发展提供参考.
2026, 52(1): 18-51.
doi: 10.16383/j.aas.c250394
cstr: 32138.14.j.aas.c250394
摘要:
具身智能系统通过智能体与环境不断交互, 从而提升智能体能力, 受到学术界和产业界的广泛关注. 视觉−语言−动作模型作为一种受到大模型发展启发的机器人通用控制模型, 提高了具身智能系统中智能体与环境交互的能力, 大大扩展了具身智能机器人的应用场景. 本文对具身操作中的视觉−语言−动作模型进行综述. 首先, 详细介绍视觉−语言−动作模型的发展历程. 然后, 对视觉−语言−动作模型架构、训练数据、预训练方法、后训练方法和模型评估5个方面的研究现状进行详细分析. 最后, 针对视觉−语言−动作模型发展过程和落地应用中面临的挑战和未来可能的发展方向进行总结.
具身智能系统通过智能体与环境不断交互, 从而提升智能体能力, 受到学术界和产业界的广泛关注. 视觉−语言−动作模型作为一种受到大模型发展启发的机器人通用控制模型, 提高了具身智能系统中智能体与环境交互的能力, 大大扩展了具身智能机器人的应用场景. 本文对具身操作中的视觉−语言−动作模型进行综述. 首先, 详细介绍视觉−语言−动作模型的发展历程. 然后, 对视觉−语言−动作模型架构、训练数据、预训练方法、后训练方法和模型评估5个方面的研究现状进行详细分析. 最后, 针对视觉−语言−动作模型发展过程和落地应用中面临的挑战和未来可能的发展方向进行总结.
2026, 52(1): 52-64.
doi: 10.16383/j.aas.c250278
cstr: 32138.14.j.aas.c250278
摘要:
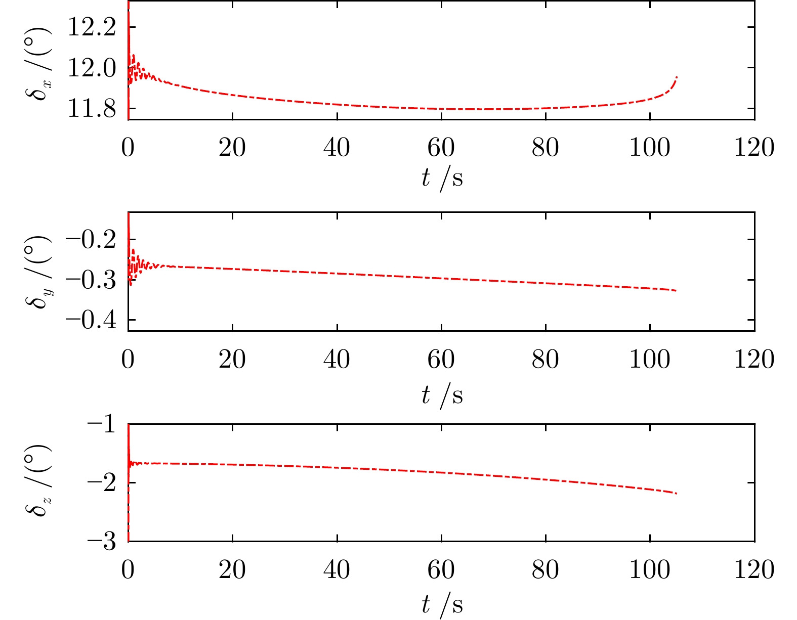
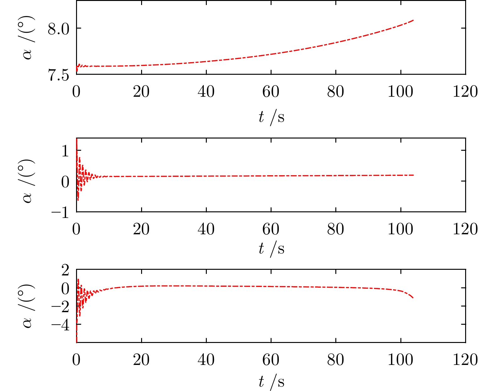
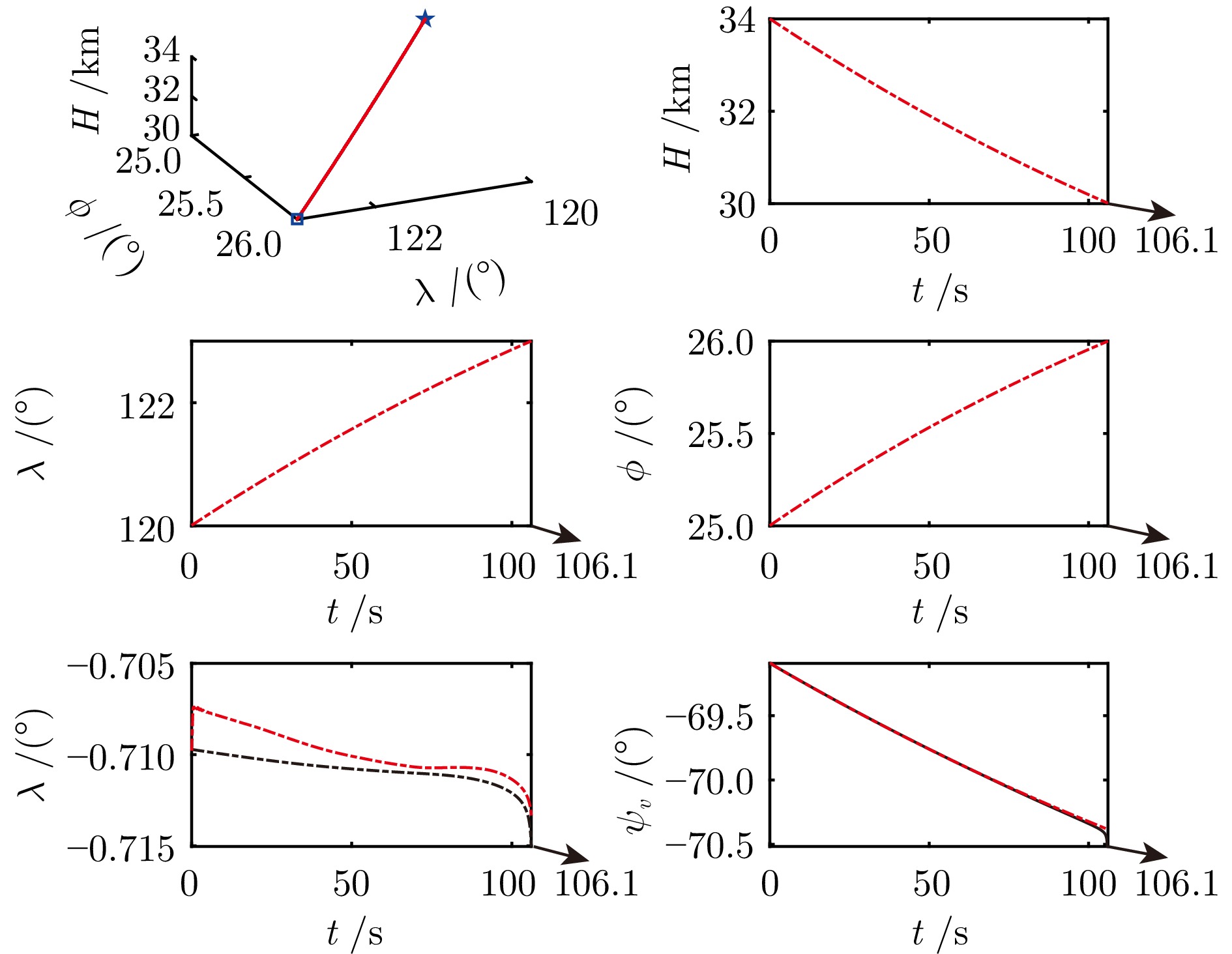
针对高超声速飞行器在外界干扰与模型不确定性影响下的制导控制难题, 提出一种融合双延迟深度确定性策略梯度与交叉熵方法 (CEM) 的进化强化学习框架. 首先, 构建高超声速飞行器的运动模型与制导控制一体化模型; 其次, 将复杂干扰环境下的多约束控制问题转化为强化学习决策优化过程, 依托深度强化学习的无模型数据驱动特性, 建立从状态观测到舵偏角指令的端到端映射机制. 同时, 引入基于CEM的动作空间采样机制, 通过Q 值最大化准则筛选精英候选动作集, 利用价值函数引导进化搜索方向, 有效克服传统强化学习探索低效、盲目性强的缺陷, 提升样本利用效率. 最后, 仿真结果表明所提算法能够适应初始高度偏差 ±300 m、速度偏差 ±200 m/s及气动参数 ±40%不确定性等变任务飞行条件, 且在终端控制精度与鲁棒性等核心指标上显著优于传统控制方法.
针对高超声速飞行器在外界干扰与模型不确定性影响下的制导控制难题, 提出一种融合双延迟深度确定性策略梯度与交叉熵方法 (CEM) 的进化强化学习框架. 首先, 构建高超声速飞行器的运动模型与制导控制一体化模型; 其次, 将复杂干扰环境下的多约束控制问题转化为强化学习决策优化过程, 依托深度强化学习的无模型数据驱动特性, 建立从状态观测到舵偏角指令的端到端映射机制. 同时, 引入基于CEM的动作空间采样机制, 通过Q 值最大化准则筛选精英候选动作集, 利用价值函数引导进化搜索方向, 有效克服传统强化学习探索低效、盲目性强的缺陷, 提升样本利用效率. 最后, 仿真结果表明所提算法能够适应初始高度偏差 ±300 m、速度偏差 ±200 m/s及气动参数 ±40%不确定性等变任务飞行条件, 且在终端控制精度与鲁棒性等核心指标上显著优于传统控制方法.
2026, 52(1): 65-77.
doi: 10.16383/j.aas.c250313
cstr: 32138.14.j.aas.c250313
摘要:
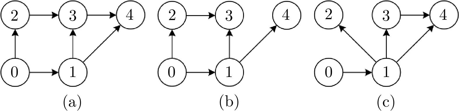
无人系统正深刻重塑社会生活方式与战争形态. 围绕无人系统动态规划领域, 首先, 将环境抽象为由节点和边组成的拓扑网络. 其次, 针对异步规划中变步长时间推进的问题, 提出一种新颖的异步规划算法, 即半马尔科夫环境下的部分可观蒙特卡洛树搜索算法(SPOMCP), 其创新之处在于将拓扑网络转化为具有最简信息表示的子目标图, 并实现基于变步长时间推进机制的策略快速寻优. 通过理论分析, 证明了SPOMCP能够生成最优策略, 且计算复杂度与子目标节点数呈指数相关. 最后, 仿真实验表明了SPOMCP的性能高于基准算法, 用不到基准算法89.18%的计算时间, 得到高于基准算法的平均回报值.
无人系统正深刻重塑社会生活方式与战争形态. 围绕无人系统动态规划领域, 首先, 将环境抽象为由节点和边组成的拓扑网络. 其次, 针对异步规划中变步长时间推进的问题, 提出一种新颖的异步规划算法, 即半马尔科夫环境下的部分可观蒙特卡洛树搜索算法(SPOMCP), 其创新之处在于将拓扑网络转化为具有最简信息表示的子目标图, 并实现基于变步长时间推进机制的策略快速寻优. 通过理论分析, 证明了SPOMCP能够生成最优策略, 且计算复杂度与子目标节点数呈指数相关. 最后, 仿真实验表明了SPOMCP的性能高于基准算法, 用不到基准算法89.18%的计算时间, 得到高于基准算法的平均回报值.
2026, 52(1): 78-90.
doi: 10.16383/j.aas.c250308
cstr: 32138.14.j.aas.c250308
摘要:
流程工业普遍存在多操作参数强耦合、工艺拓扑复杂及多工序协同困难等问题, 传统局部优化方法难以实现全局最优运行. 针对上述挑战, 提出一种基于图谱理论的流程拓扑结构感知的多智能体强化学习协同优化方法, 以实现复杂拓扑流程工业的多操作参数协同优化. 首先, 构建基于拉普拉斯谱分析的拓扑结构解析框架, 刻画多操作参数间的耦合关系, 为智能体任务分配与协同决策提供支撑; 随后, 设计融合长短期记忆网络与多头注意机制的时序感知模块, 提取历史状态轨迹中的关键时间依赖特征; 进一步, 引入多层次空间注意力机制, 在组织层、变量层及连续控制域实现优化关注度的动态自适应调节; 在此基础上, 构建局部−全局协同的分层强化学习决策架构, 实现多智能体协调控制与策略优化. 基于连续搅拌釜反应器系统及盐湖化工典型流程工业数据开展仿真实验, 验证了所提方法的有效性. 实验结果表明, 该方法较传统方法性能提升41.2%, 在收敛速度与策略稳定性方面表现更优, 为流程工业多操作参数协同优化提供新的技术路径.
流程工业普遍存在多操作参数强耦合、工艺拓扑复杂及多工序协同困难等问题, 传统局部优化方法难以实现全局最优运行. 针对上述挑战, 提出一种基于图谱理论的流程拓扑结构感知的多智能体强化学习协同优化方法, 以实现复杂拓扑流程工业的多操作参数协同优化. 首先, 构建基于拉普拉斯谱分析的拓扑结构解析框架, 刻画多操作参数间的耦合关系, 为智能体任务分配与协同决策提供支撑; 随后, 设计融合长短期记忆网络与多头注意机制的时序感知模块, 提取历史状态轨迹中的关键时间依赖特征; 进一步, 引入多层次空间注意力机制, 在组织层、变量层及连续控制域实现优化关注度的动态自适应调节; 在此基础上, 构建局部−全局协同的分层强化学习决策架构, 实现多智能体协调控制与策略优化. 基于连续搅拌釜反应器系统及盐湖化工典型流程工业数据开展仿真实验, 验证了所提方法的有效性. 实验结果表明, 该方法较传统方法性能提升41.2%, 在收敛速度与策略稳定性方面表现更优, 为流程工业多操作参数协同优化提供新的技术路径.
2026, 52(1): 91-107.
doi: 10.16383/j.aas.c250277
cstr: 32138.14.j.aas.c250277
摘要:
针对火电企业人工配烧方案制定效率低、成本高的问题, 本文首次系统性开展面向分段计划负荷的耦合配烧优化模型与硫分约束界调整研究. 首先, 为保证更快速与更精准地制定配烧方案, 通过磨煤机组的切换磨向量建立分段计划负荷与配烧优化模型之间的耦合关系, 实现以计算机优化模型为主的数字化配烧. 然后, 针对耦合配烧优化模型中的硫分约束值受燃煤硫转化、脱硫等多重不确定性影响的问题, 在反演计算硫分约束界的基础上, 基于改进随机配置网络建立硫分约束界前馈补偿模型. 接下来, 为保证前馈补偿模型的历史训练样本案例数据库的最优性, 通过监测机组的实时生产数据全周期迭代动态更新案例数据库, 进而提升前馈补偿模型的全周期预测精准性. 基于该模型开发的软件系统应用结果表明: 配烧方案制定时间从原来的40分钟/次缩短至5分钟/次以内; 在满足环保要求的前提下, 优化后配烧成本较人工经验方案平均降低21 CNY/t, 取得显著的效率与经济效益.
针对火电企业人工配烧方案制定效率低、成本高的问题, 本文首次系统性开展面向分段计划负荷的耦合配烧优化模型与硫分约束界调整研究. 首先, 为保证更快速与更精准地制定配烧方案, 通过磨煤机组的切换磨向量建立分段计划负荷与配烧优化模型之间的耦合关系, 实现以计算机优化模型为主的数字化配烧. 然后, 针对耦合配烧优化模型中的硫分约束值受燃煤硫转化、脱硫等多重不确定性影响的问题, 在反演计算硫分约束界的基础上, 基于改进随机配置网络建立硫分约束界前馈补偿模型. 接下来, 为保证前馈补偿模型的历史训练样本案例数据库的最优性, 通过监测机组的实时生产数据全周期迭代动态更新案例数据库, 进而提升前馈补偿模型的全周期预测精准性. 基于该模型开发的软件系统应用结果表明: 配烧方案制定时间从原来的40分钟/次缩短至5分钟/次以内; 在满足环保要求的前提下, 优化后配烧成本较人工经验方案平均降低21 CNY/t, 取得显著的效率与经济效益.
2026, 52(1): 108-120.
doi: 10.16383/j.aas.c250295
cstr: 32138.14.j.aas.c250295
摘要:
研究双网络零和博弈中的分布式优化问题, 其中两个网络代表两个对立的玩家. 每个网络由一组具有时变损失函数的智能体组成, 智能体通过通信和协作来优化己方网络在博弈中的收益. 考虑到现实优化场景中通信资源受限和信息反馈受限两种通信受限情形, 设计基于事件触发通信和两点Bandit反馈的分布式在线优化算法, 并采用动态纳什均衡遗憾评估算法的性能. 在某些假设条件下, 建立相对于总博弈次数为次线性的动态纳什均衡遗憾界, 从而验证了算法的有效性. 此外, 将设计的算法拓展为多周期版本并建立次线性的动态纳什均衡遗憾界. 最后, 通过双线性矩阵博弈的仿真算例进一步验证了所设计的两个算法的性能.
研究双网络零和博弈中的分布式优化问题, 其中两个网络代表两个对立的玩家. 每个网络由一组具有时变损失函数的智能体组成, 智能体通过通信和协作来优化己方网络在博弈中的收益. 考虑到现实优化场景中通信资源受限和信息反馈受限两种通信受限情形, 设计基于事件触发通信和两点Bandit反馈的分布式在线优化算法, 并采用动态纳什均衡遗憾评估算法的性能. 在某些假设条件下, 建立相对于总博弈次数为次线性的动态纳什均衡遗憾界, 从而验证了算法的有效性. 此外, 将设计的算法拓展为多周期版本并建立次线性的动态纳什均衡遗憾界. 最后, 通过双线性矩阵博弈的仿真算例进一步验证了所设计的两个算法的性能.
2026, 52(1): 121-136.
doi: 10.16383/j.aas.c250180
cstr: 32138.14.j.aas.c250180
摘要:
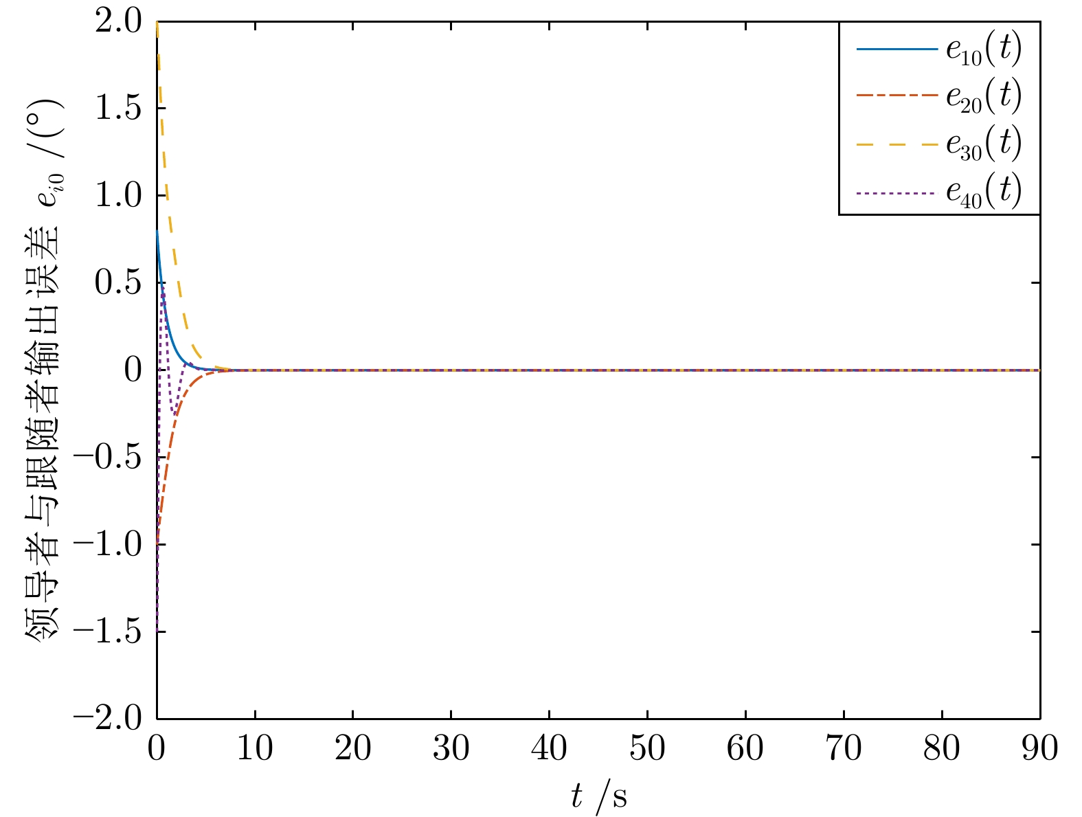
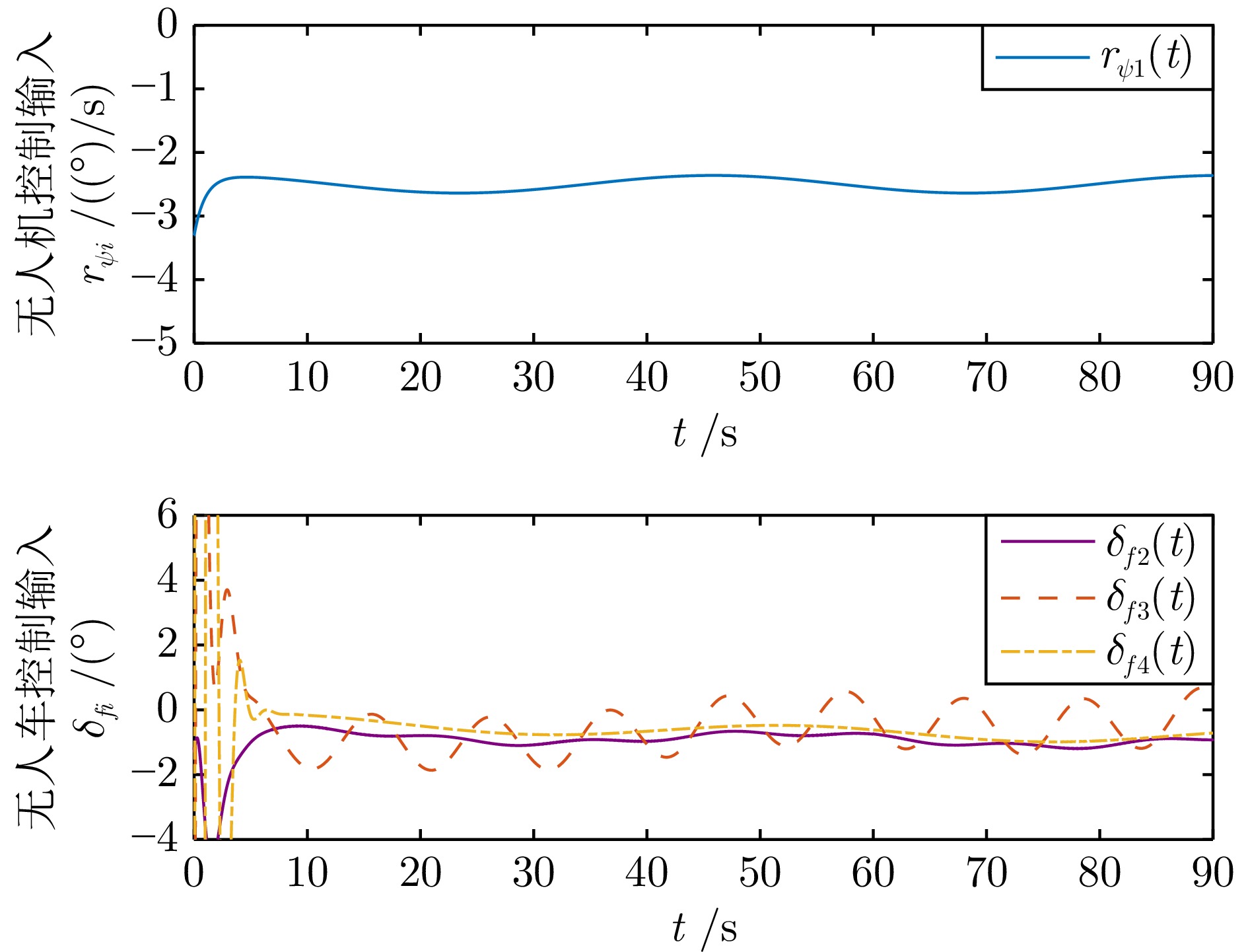
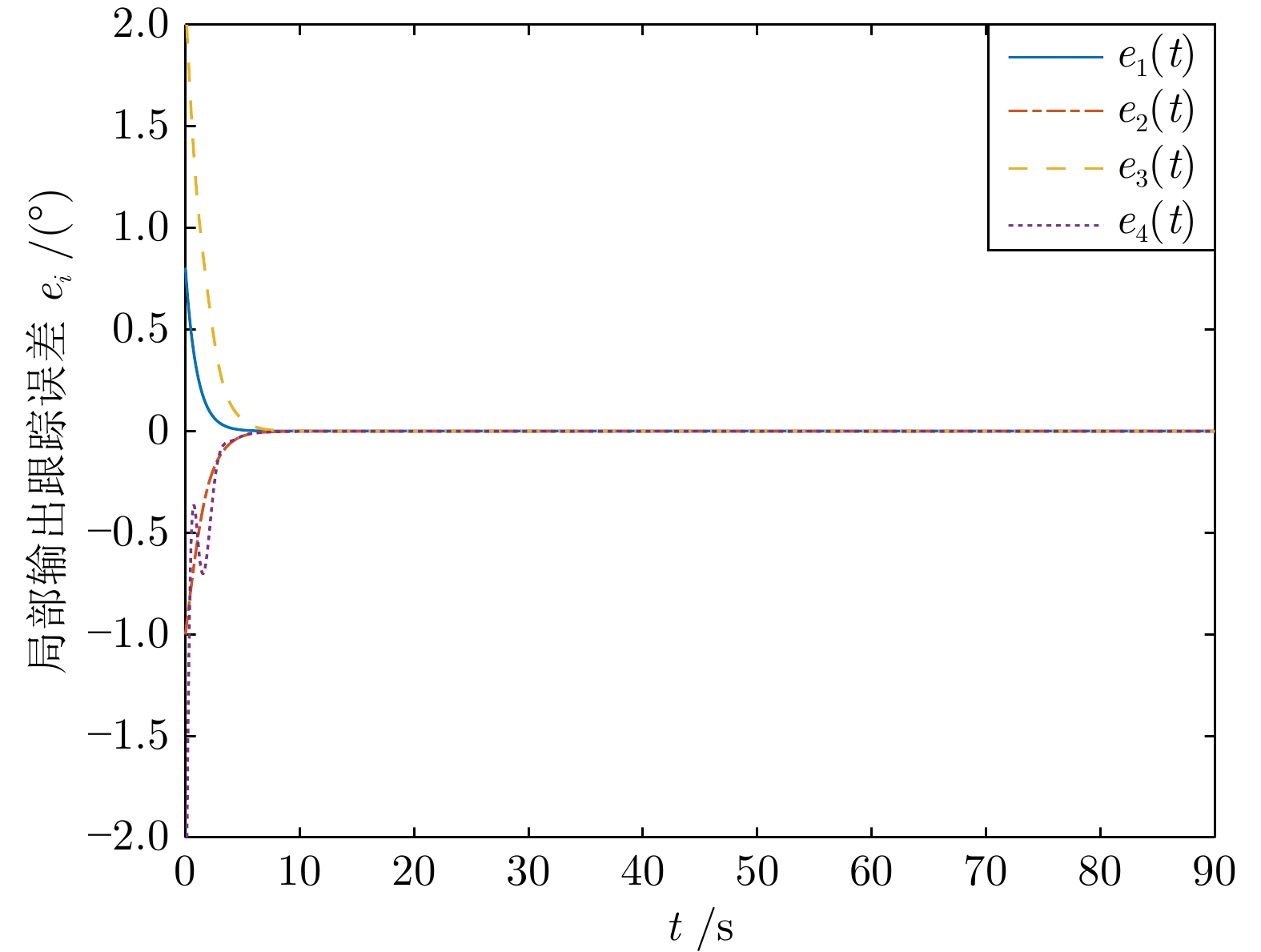
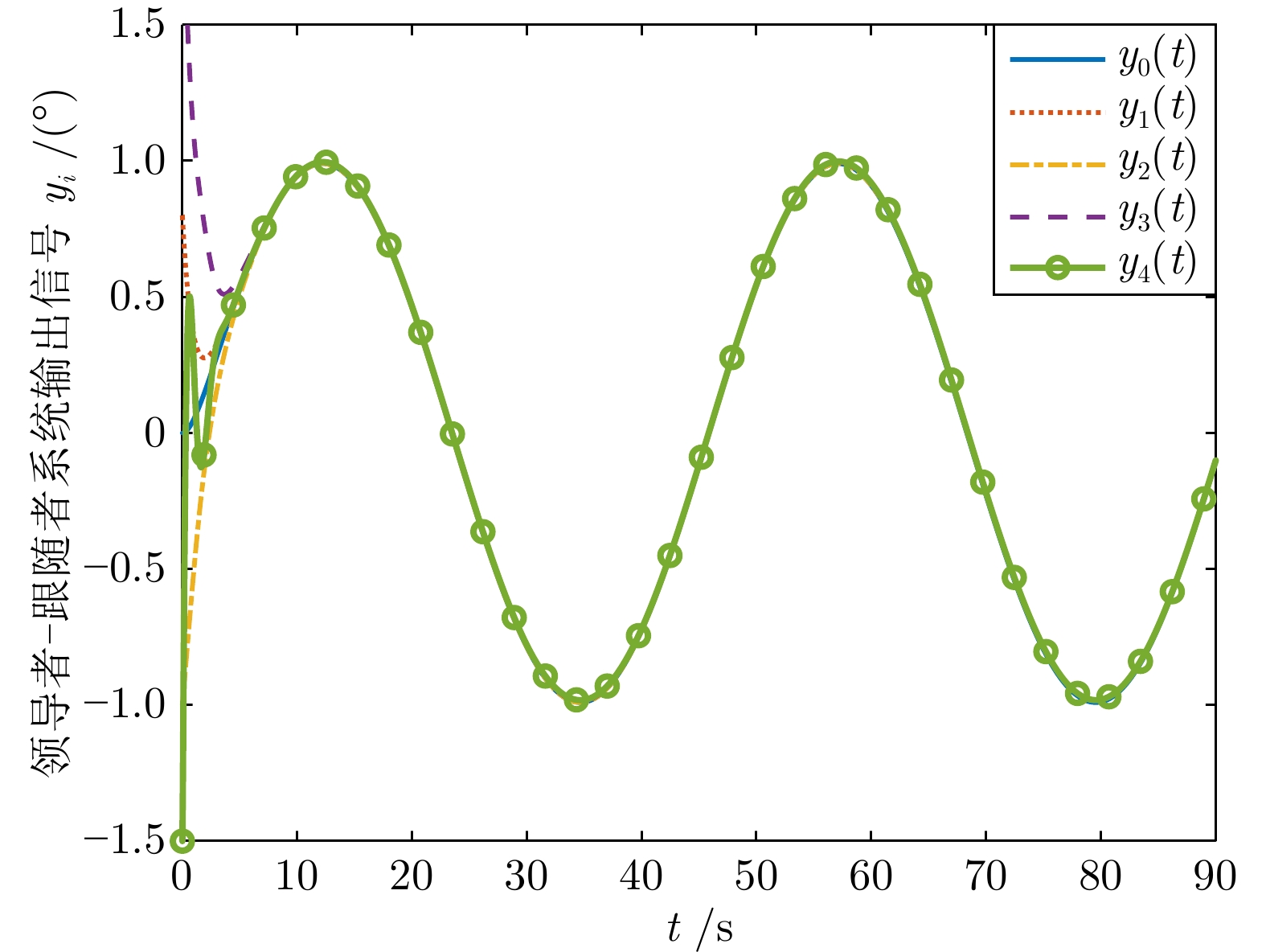
针对不确定扰动下具有混合相对阶的异构多智能体系统, 提出一种新的分布式自适应扰动抑制控制方法, 实现切换拓扑下领导者−跟随者输出一致性. 首先, 通过引入局部输出跟踪误差, 将领导者−跟随者全局输出一致性问题转化为相邻智能体局部输出一致性问题; 然后, 针对系统参数和扰动已知的情况, 基于智能体系统控制−扰动相对阶匹配条件, 提出一种基于高阶微分邻居信息的分布式标称扰动抑制控制器. 基于此, 针对因混合相对阶差异而导致控制器中的高阶微分邻居信号难以直接获取的问题, 提出基于高阶滑模微分器的精确估计方法, 突破了传统控制设计对系统相对阶一致性的依赖, 解决了固定/切换拓扑下局部−全局输出一致性; 进而, 针对系统参数和扰动不确定的情况, 进行分布式自适应扰动抑制控制器设计, 实现切换拓扑下的领导者−跟随者输出一致性以及期望的扰动补偿. 所设计的控制方法不仅能够在不依赖全局智能体信息及领导者信息的前提下, 确保整个智能体系统的闭环稳定性、实现跟随者对领导者的输出跟踪, 而且能达到期望的扰动抑制效果. 与常规的自适应一致性控制方案相比, 还具备处理具有混合相对阶特性的异构多智能体系统的能力. 最后, 仿真研究验证了所设计控制方案的有效性.
针对不确定扰动下具有混合相对阶的异构多智能体系统, 提出一种新的分布式自适应扰动抑制控制方法, 实现切换拓扑下领导者−跟随者输出一致性. 首先, 通过引入局部输出跟踪误差, 将领导者−跟随者全局输出一致性问题转化为相邻智能体局部输出一致性问题; 然后, 针对系统参数和扰动已知的情况, 基于智能体系统控制−扰动相对阶匹配条件, 提出一种基于高阶微分邻居信息的分布式标称扰动抑制控制器. 基于此, 针对因混合相对阶差异而导致控制器中的高阶微分邻居信号难以直接获取的问题, 提出基于高阶滑模微分器的精确估计方法, 突破了传统控制设计对系统相对阶一致性的依赖, 解决了固定/切换拓扑下局部−全局输出一致性; 进而, 针对系统参数和扰动不确定的情况, 进行分布式自适应扰动抑制控制器设计, 实现切换拓扑下的领导者−跟随者输出一致性以及期望的扰动补偿. 所设计的控制方法不仅能够在不依赖全局智能体信息及领导者信息的前提下, 确保整个智能体系统的闭环稳定性、实现跟随者对领导者的输出跟踪, 而且能达到期望的扰动抑制效果. 与常规的自适应一致性控制方案相比, 还具备处理具有混合相对阶特性的异构多智能体系统的能力. 最后, 仿真研究验证了所设计控制方案的有效性.
2026, 52(1): 137-147.
doi: 10.16383/j.aas.c250327
cstr: 32138.14.j.aas.c250327
摘要:
针对存在扰动的连续时间非线性系统, 设计一种结合混合迭代机制和自适应评判框架的鲁棒控制方法. 通过优化传统值迭代方法, 实现加速学习并放宽了预设条件的目标. 引入可调参数确保控制策略在迭代过程中的可容许性, 从而放松了加速因子的设置条件. 结合广义策略迭代的思想, 构建新型混合迭代机制, 从而获得更优的收敛性能. 最后, 利用两个仿真实例验证了所提方法的性能. 针对线性系统的仿真结果表明, 本文方法具有较高的收敛精度. 在导弹自动驾驶仪系统仿真中, 相对于值迭代方法, 本文方法不依赖初始可容许控制策略, 同时能使收敛速度提高约49%.
针对存在扰动的连续时间非线性系统, 设计一种结合混合迭代机制和自适应评判框架的鲁棒控制方法. 通过优化传统值迭代方法, 实现加速学习并放宽了预设条件的目标. 引入可调参数确保控制策略在迭代过程中的可容许性, 从而放松了加速因子的设置条件. 结合广义策略迭代的思想, 构建新型混合迭代机制, 从而获得更优的收敛性能. 最后, 利用两个仿真实例验证了所提方法的性能. 针对线性系统的仿真结果表明, 本文方法具有较高的收敛精度. 在导弹自动驾驶仪系统仿真中, 相对于值迭代方法, 本文方法不依赖初始可容许控制策略, 同时能使收敛速度提高约49%.
2026, 52(1): 148-171.
doi: 10.16383/j.aas.c250097
cstr: 32138.14.j.aas.c250097
摘要:
露天矿机器人化开采面临复杂环境数据不足、极端工况测试难、现场试验风险高、动态感知建模复杂及实验周期长等挑战. 为此, 提出基于“端边感知、平行控制”的露天矿机器人化采运智慧生产模式, 从车辆感控、车铲协同、集群调度与工程示范等多层面入手, 系统地突破提效开采机理、高精度全域感知、稳定协同控制与可靠群体管控等核心科学问题. 通过技术集成与工艺优化, 实现百吨级以上无人驾驶运输车的规模化运行, 形成我国露天煤矿高水平智能化的“双十” (10项创新技术、10项标准)、“双百” (100台车示范, 运输效率达有人系统110%)、“双千” (千台车监控平台、千小时无故障运行)中国方案, 有力支撑了我国矿山智能化绿色开采发展战略.
露天矿机器人化开采面临复杂环境数据不足、极端工况测试难、现场试验风险高、动态感知建模复杂及实验周期长等挑战. 为此, 提出基于“端边感知、平行控制”的露天矿机器人化采运智慧生产模式, 从车辆感控、车铲协同、集群调度与工程示范等多层面入手, 系统地突破提效开采机理、高精度全域感知、稳定协同控制与可靠群体管控等核心科学问题. 通过技术集成与工艺优化, 实现百吨级以上无人驾驶运输车的规模化运行, 形成我国露天煤矿高水平智能化的“双十” (10项创新技术、10项标准)、“双百” (100台车示范, 运输效率达有人系统110%)、“双千” (千台车监控平台、千小时无故障运行)中国方案, 有力支撑了我国矿山智能化绿色开采发展战略.
2026, 52(1): 172-190.
doi: 10.16383/j.aas.c240775
cstr: 32138.14.j.aas.c240775
摘要:
随着车联网技术的进步, 由网联人驾车与网联自动车组成的混行车群规模正逐渐增大, 导致混行车群间的协同与交互难度增加, 进而影响混行车群行驶状态的一致性. 为解决此问题, 提出一种云−边−端协同下考虑多车影响的混行车群集中式协同控制方法. 首先, 为有效处理和分析较大规模混行车群产生的海量异构数据, 设计混合交通场景下云−边−端协同架构. 然后, 考虑网联人驾车前方两辆车及紧邻后车状态的影响, 以及网联自动车前方所有车辆及紧邻后车状态的影响, 分别在云控平台建立基于分子动力学的网联自动车和固定权重的网联人驾车协同行驶模型. 再者, 根据混行车群间动态影响关系, 设计基于云−边−端协同架构的混行车群集中式协同控制方法, 并利用稳定性和串稳定性理论获得混行车群协同行驶一致性条件. 最后, 通过对比仿真实验验证了所提方法的有效性.
随着车联网技术的进步, 由网联人驾车与网联自动车组成的混行车群规模正逐渐增大, 导致混行车群间的协同与交互难度增加, 进而影响混行车群行驶状态的一致性. 为解决此问题, 提出一种云−边−端协同下考虑多车影响的混行车群集中式协同控制方法. 首先, 为有效处理和分析较大规模混行车群产生的海量异构数据, 设计混合交通场景下云−边−端协同架构. 然后, 考虑网联人驾车前方两辆车及紧邻后车状态的影响, 以及网联自动车前方所有车辆及紧邻后车状态的影响, 分别在云控平台建立基于分子动力学的网联自动车和固定权重的网联人驾车协同行驶模型. 再者, 根据混行车群间动态影响关系, 设计基于云−边−端协同架构的混行车群集中式协同控制方法, 并利用稳定性和串稳定性理论获得混行车群协同行驶一致性条件. 最后, 通过对比仿真实验验证了所提方法的有效性.