• 中文核心
  • EI
  • 中国科技核心
  • Scopus
  • CSCD
  • 英国科学文摘

留言板

尊敬的读者、作者、审稿人, 关于本刊的投稿、审稿、编辑和出版的任何问题, 您可以本页添加留言。我们将尽快给您答复。谢谢您的支持!

姓名
邮箱
手机号码
标题
留言内容
验证码

时延非线性系统无模型预设性能控制

张晋熙 柴天佑 王良勇

张晋熙, 柴天佑, 王良勇. 时延非线性系统无模型预设性能控制. 自动化学报, 2024, 50(5): 937−946 doi: 10.16383/j.aas.c230701
引用本文: 张晋熙, 柴天佑, 王良勇. 时延非线性系统无模型预设性能控制. 自动化学报, 2024, 50(5): 937−946 doi: 10.16383/j.aas.c230701
Zhang Jin-Xi, Chai Tian-You, Wang Liang-Yong. Model-free prescribed performance control of time-delay nonlinear systems. Acta Automatica Sinica, 2024, 50(5): 937−946 doi: 10.16383/j.aas.c230701
Citation: Zhang Jin-Xi, Chai Tian-You, Wang Liang-Yong. Model-free prescribed performance control of time-delay nonlinear systems. Acta Automatica Sinica, 2024, 50(5): 937−946 doi: 10.16383/j.aas.c230701

时延非线性系统无模型预设性能控制

doi: 10.16383/j.aas.c230701
基金项目: 国家自然科学基金(61991404, 62103093), 国家重点研发计划(2022YFB3305905), 辽宁省“兴辽英才计划”项目(XLYC2203130), 辽宁省科学技术基金(2023-MS-087), 辽宁辽河实验室项目(LLL23ZZ-05-01), 111计划2.0 (B08015), 中央高校基本科研业务费(N2108003)资助
详细信息
    作者简介:

    张晋熙:东北大学副教授. 主要研究方向为非线性控制, 预设性能控制和容错控制. 本文通信作者. E-mail: zhangjx@mail.neu.edu.cn

    柴天佑:中国工程院院士, 东北大学教授, IEEE Life Fellow, IFAC Fellow, 欧亚科学院院士. 主要研究方向为自适应控制, 智能解耦控制, 流程工业综合自动化与智能化系统理论、方法与技术. E-mail: tychai@mail.neu.edu.cn

    王良勇:东北大学教授. 主要研究方向为智能控制及应用, 风力发电, 大数据及云计算的工业应用, 物联网技术. E-mail: lywang@mail.neu.edu.cn

Model-free Prescribed Performance Control of Time-delay Nonlinear Systems

Funds: Supported by National Natural Science Foundation of China (61991404, 62103093), the National Key Research and Development Program of China (2022YFB3305905), the Xingliao Talent Program of Liaoning Province of China (XLYC2203130), the Science and Technology Foundation of Liaoning Province (2023-MS-087), the Research Program of the Liaoning Liaohe Laboratory (LLL23ZZ-05-01), the 111 Project 2.0 of China (B08015), and the Fundamental Research Funds for the Central Universities of China (N2108003)
More Information
    Author Bio:

    ZHANG Jin-Xi Associate professor at Northeastern University. His research interest covers nonlinear control, prescribed performance control, and fault-tolerant control. Corresponding author of this paper

    CHAI Tian-You Academician of Chinese Academy of Engineering, professor at Northeastern University, IEEE Life Fellow, IFAC Fellow, and academician of the International Eurasian Academy of Sciences. His research interest covers adaptive control, intelligent decoupling control, and theories, methods and technology of synthetical automation and intelligent system for process industries

    WANG Liang-Yong Professor at Northeastern University. His research interest covers intelligent control and applications, wind power, big data and cloud computing for industrial applications, internet of things

  • 摘要: 研究含有状态时延的严反馈非线性系统的跟踪控制问题, 充分考虑时延的时变性和任意性以及系统的未知动力学特性. 为解决该问题, 取代参数辨识、函数逼近、增益调节、指令滤波等常规技术, 提出基于导向函数的预设性能控制方法, 移除了控制器设计对于系统非线性、控制方向和虚拟控制信号导数等信息的依赖. 并且, 摆脱基于李雅普诺夫−克拉索夫斯基泛函或拉祖米欣函数的稳定性分析框架, 采用基于反证法的受限分析理论, 移除性能分析对于已知的时延上界、部分已知的时延非线性函数和时延导数小于1等常见约束. 因此, 形成无模型、低复杂度、高性能控制方法, 将跟踪误差限制于设计者预先选取的性能包络线内, 确保系统输出以预先设定的速度和精度跟踪上时变的设定值. 最后, 以具有延迟回收流的两级化学反应器为对象开展对比仿真, 实验结果验证了所提方法的有效性和优越性.
  • 图  1  槽式反应器

    Fig.  1  Stirred tank reactor

    图  2  槽式反应器示意图

    Fig.  2  Schematic diagram of stirred tank reactor

    图  3  带有延迟回收流的两级化学反应器

    Fig.  3  Two-stage chemical reactor with delayed recycle streams

    图  4  跟踪响应

    Fig.  4  Tracking response

    图  8  控制输入

    Fig.  8  Control input

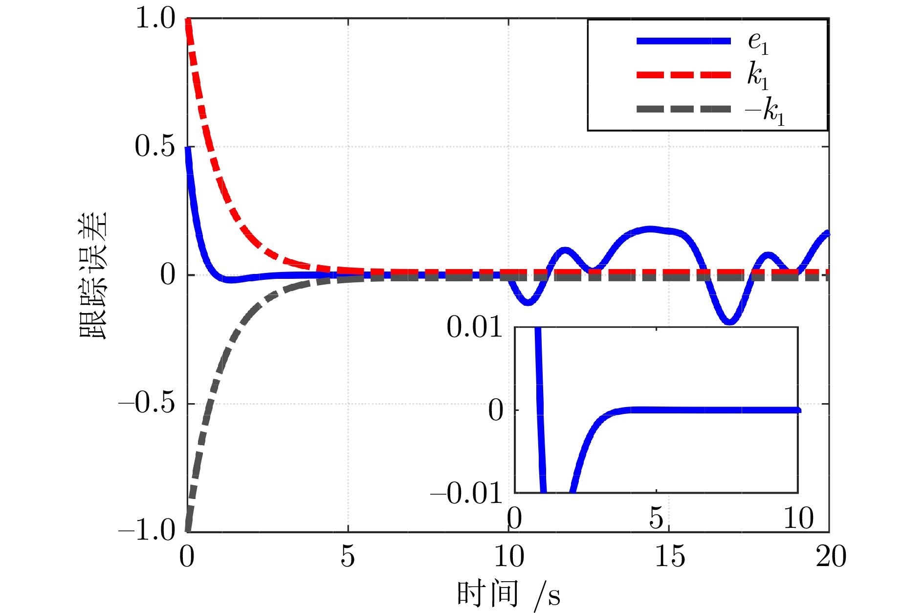
    图  5  跟踪误差

    Fig.  5  Tracking error

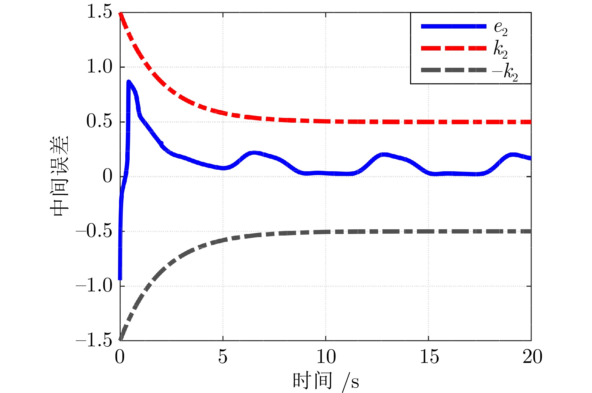
    图  6  中间误差

    Fig.  6  Intermediate error

    图  7  状态变量

    Fig.  7  State variable

    图  9  跟踪响应

    Fig.  9  Tracking response

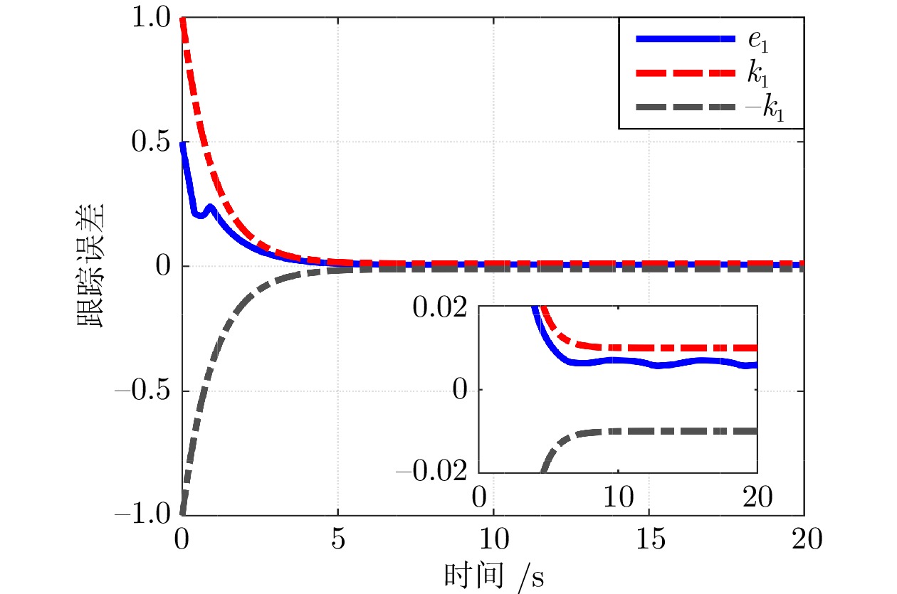
    图  10  跟踪误差

    Fig.  10  Tracking error

    表  1  模型参数

    Table  1  Model parameters

    $a_1$$a_2$$b_1$$b_2$$R_1$$R_2$$V_1$$V_2$$F$
    220.30.30.50.50.50.50.5
    下载: 导出CSV
  • [1] Niculescu S I. Delay Effects on Stability: A Robust Control Approach. London: Springer, 2001.
    [2] Nguang S K. Robust stabilization of a class of time-delay nonlinear systems. IEEE Transactions on Automatic Control, 2000, 45(4): 756−762 doi: 10.1109/9.847117
    [3] Mahmoud M S. Robust Control and Filtering for Time-Delay Systems. Boca Raton: CRC Press, 2000.
    [4] Lehman B. Stability of chemical reactions in a CSTR with delayed recycle stream. In: Proceedings of the American Control Conference. Baltimore, USA: IEEE, 1994. 3521−3522
    [5] Zhang J X, Xu K D, Wang Q G. Prescribed performance tracking control of time-delay nonlinear systems with output constraints. IEEE/CAA Journal of Automatica Sinica, DOI: 10.1109/JAS.2023.123831
    [6] Zhang Z Q, Xu B, Tan C, Ge S S. Adaptive control of uncertain nonlinear time-delay systems with external disturbance. IEEE Transactions on Systems, Man, and Cybernetics: Systems, 2022, 52(2): 1288−1295 doi: 10.1109/TSMC.2020.3017801
    [7] Niu B, Wang D, Liu M, Song X M, Wang H Q, Duan P Y. Adaptive neural output-feedback controller design of switched nonlower triangular nonlinear systems with time delays. IEEE Transactions on Neural Networks and Learning Systems, 2020, 31(10): 4084−4093 doi: 10.1109/TNNLS.2019.2952108
    [8] Sun W W, Wu Y, Lv X Y. Adaptive neural network control for full-state constrained robotic manipulator with actuator saturation and time-varying delays. IEEE Transactions on Neural Networks and Learning Systems, 2022, 33(8): 3331−3342 doi: 10.1109/TNNLS.2021.3051946
    [9] Li H F, Liu Q R, Feng G, Zhang X F. Leader-follower consensus of nonlinear time-delay multiagent systems: A time-varying gain approach. Automatica, 2021, 126: Article No. 109444 doi: 10.1016/j.automatica.2020.109444
    [10] Xie Y K, Ma Q. Adaptive event-triggered neural network control for switching nonlinear systems with time delays. IEEE Transactions on Neural Networks and Learning Systems, 2023, 34(2): 729−738 doi: 10.1109/TNNLS.2021.3100533
    [11] Liu Z G, Xue L R, Zhang W H. Universal adaptive control strategies for stochastic nonlinear time-delay systems with odd rational powers. Automatica, 2021, 125: Article No. 109419 doi: 10.1016/j.automatica.2020.109419
    [12] Liu Z G, Xue L R, Sun Z Y. A new robust adaptive tracking strategy to uncertain time-delay nonlinear systems with a general form. Automatica, 2022, 146: Article No. 110560 doi: 10.1016/j.automatica.2022.110560
    [13] Zhang Z Q, Yang C, Ge S S. Decentralized adaptive control of large-scale nonlinear systems with time-delay interconnections and asymmetric dead-zone input. IEEE Transactions on Systems, Man, and Cybernetics: Systems, 2023, 53(4): 2259−2270 doi: 10.1109/TSMC.2022.3212882
    [14] Hua C C, Wang Q G, Guan X P. Adaptive tracking controller design of nonlinear systems with time delays and unknown dead-zone input. IEEE Transactions on Automatic Control, 2008, 53(7): 1753−1759 doi: 10.1109/TAC.2008.928324
    [15] Sun H B, Hou L L, Zong G D, Yu X H. Adaptive decentralized neural network tracking control for uncertain interconnected nonlinear systems with input quantization and time delay. IEEE Transactions on Neural Networks and Learning Systems, 2020, 31(4): 1401−1409 doi: 10.1109/TNNLS.2019.2919697
    [16] Li D P, Liu L, Liu Y J, Tong S C, Chen C L P. Fuzzy approximation-based adaptive control of nonlinear uncertain state constrained systems with time-varying delays. IEEE Transactions on Fuzzy Systems, 2020, 28(8): 1620−1630 doi: 10.1109/TFUZZ.2019.2919490
    [17] Li M, Li S, Ahn C K, Xiang Z R. Adaptive fuzzy event-triggered command-filtered control for nonlinear time-delay systems. IEEE Transactions on Fuzzy Systems, 2022, 30(4): 1025−1035 doi: 10.1109/TFUZZ.2021.3052095
    [18] Ji R H, Li D Y, Ge S S. Saturation-tolerant prescribed control for nonlinear time-delay systems. IEEE Transactions on Fuzzy Systems, 2023, 31(8): 2495−2508 doi: 10.1109/TFUZZ.2022.3227984
    [19] Liu G P, Park J H, Xu H S, Hua C C. Reduced-order observer-based output-feedback tracking control for nonlinear time-delay systems with global prescribed performance. IEEE Transactions on Cybernetics, 2023, 53(9): 5560−5571 doi: 10.1109/TCYB.2022.3158932
    [20] 方玫. 不确定广义时滞系统的时滞依赖鲁棒H 控制. 自动化学报, 2009, 35(1): 65−70

    Fang Mei. Delay-dependent robust H control for uncertain singular systems with state delay. Acta Automatica Sinica, 2009, 35(1): 65−70
    [21] 陈为胜, 王元亮, 李俊民. 周期时变时滞非线性参数化系统的自适应学习控制. 自动化学报, 2008, 34(12): 1556−1560

    Chen Wei-Sheng, Wang Yuan-Liang, Li Jun-Min. Adaptive learning control for nonlinearly parameterized systems with periodically time-varying delays. Acta Automatica Sinica, 2008, 34(12): 1556−1560
    [22] 高金凤, 潘海鹏, 嵇小辅. 具有时变时滞的Lurie系统时滞依赖绝对稳定性新判据. 自动化学报, 2010, 36(6): 845−850

    Gao Jin-Feng, Pan Hai-Peng, Ji Xiao-Fu. A new delay-dependent absolute stability criterion for Lurie systems with time-varying delay. Acta Automatica Sinica, 2010, 36(6): 845−850
    [23] Zhang J F, Raïssi T, Deng X J. Indefinite Krasovskii and Razumikhin stability for nonlinear positive time-varying systems. IEEE Transactions on Circuits and Systems II: Express Briefs, 2022, 69(4): 2321−2325
    [24] Yan X G, Spurgeon S K, Edwards C. Decentralised stabilisation for nonlinear time delay interconnected systems using static output feedback. Automatica, 2013, 49(2): 633−641 doi: 10.1016/j.automatica.2012.11.040
    [25] Zhang X F, Baron L, Liu Q R, Boukas E K. Design of stabilizing controllers with a dynamic gain for feedforward nonlinear time-delay systems. IEEE Transactions on Automatic Control, 2011, 56(3): 692−697 doi: 10.1109/TAC.2010.2097150
    [26] Wang T C, Luo X X, Li W Q. Razumikhin-type approach on state feedback of stochastic high-order nonlinear systems with time-varying delay. International Journal of Robust and Nonlinear Control, 2017, 27(16): 3124−3134 doi: 10.1002/rnc.3730
    [27] Dimanidis I S, Bechlioulis C P, Rovithakis G A. Output feedback approximation-free prescribed performance tracking control for uncertain MIMO nonlinear systems. IEEE Transactions on Automatic Control, 2020, 65(12): 5058−5069 doi: 10.1109/TAC.2020.2970003
    [28] Zhang J X, Chai T Y. Proportional-integral funnel control of unknown lower-triangular nonlinear systems. IEEE Transactions on Automatic Control, 2024, 69(3): 1921−1927 doi: 10.1109/TAC.2023.3330900
    [29] Bu X W, Jiang B X, Lei H M. Performance guaranteed finite-time non-affine control of waverider vehicles without function-approximation. IEEE Transactions on Intelligent Transportation Systems, 2023, 24(3): 3252−3262 doi: 10.1109/TITS.2022.3224424
    [30] Bu X W, Jiang B X. Fragility-free prescribed performance control without approximation applied to waverider aerocraft. IEEE Journal on Miniaturization for Air and Space Systems, 2023, 4(2): 146−156 doi: 10.1109/JMASS.2023.3242304
    [31] Karayiannidis Y, Papageorgiou D, Doulgeri Z. A model-free controller for guaranteed prescribed performance tracking of both robot joint positions and velocities. IEEE Robotics and Automation Letters, 2016, 1(1): 267−273 doi: 10.1109/LRA.2016.2516245
    [32] Hu Y B, Geng Y H, Wu B L, Wang D W. Model-free prescribed performance control for spacecraft attitude tracking. IEEE Transactions on Control Systems Technology, 2021, 29(1): 165−179 doi: 10.1109/TCST.2020.2968868
    [33] Wang N, Gao Y, Zhang X F. Data-driven performance-prescribed reinforcement learning control of an unmanned surface vehicle. IEEE Transactions on Neural Networks and Learning Systems, 2021, 32(12): 5456−5467 doi: 10.1109/TNNLS.2021.3056444
    [34] Hao L Y, Zhang H, Li T S, Lin B, Chen C L P. Fault tolerant control for dynamic positioning of unmanned marine vehicles based on T-S fuzzy model with unknown membership functions. IEEE Transactions on Vehicular Technology, 2021, 70(1): 146−157 doi: 10.1109/TVT.2021.3050044
    [35] Hao L Y, Zhang H, Guo G, Li H. Quantized sliding mode control of unmanned marine vehicles: Various thruster faults tolerated with a unified model. IEEE Transactions on Systems, Man, and Cybernetics: Systems, 2021, 51(3): 2012−2026
    [36] Hao L Y, Dong G G, Li T S, Peng Z H. Path-following control with obstacle avoidance of autonomous surface vehicles subject to actuator faults. IEEE/CAA Journal of Automatica Sinica, 2024, 11(4): 956−964 doi: 10.1109/JAS.2023.123675
    [37] Zhang J X, Yang T, Chai T Y. Neural network control of underactuated surface vehicles with prescribed trajectory tracking performance. IEEE Transactions on Neural Networks and Learning Systems, DOI: 10.1109/TNNLS.2022.3223666
    [38] Liu D, Yang G H. Prescribed performance model-free adaptive integral sliding mode control for discrete-time nonlinear systems. IEEE Transactions on Neural Networks and Learning Systems, 2019, 30(7): 2222−2230 doi: 10.1109/TNNLS.2018.2881205
    [39] Zhang J X, Yang G H. Prescribed performance fault-tolerant control of uncertain nonlinear systems with unknown control directions. IEEE Transactions on Automatic Control, 2017, 62(12): 6529−6535 doi: 10.1109/TAC.2017.2705033
    [40] Zhang J X, Yang G H. Adaptive prescribed performance control of nonlinear output-feedback systems with unknown control direction. International Journal of Robust and Nonlinear Control, 2018, 28(16): 4696−4712 doi: 10.1002/rnc.4277
    [41] Zhang J X, Yang G H. Low-complexity adaptive tracking control of MIMO nonlinear systems with unknown control directions. International Journal of Robust and Nonlinear Control, 2019, 29(7): 2203−2222 doi: 10.1002/rnc.4486
    [42] Hsu L, Oliveira T R, Cunha J P V S, Yan L. Adaptive unit vector control of multivariable systems using monitoring functions. International Journal of Robust and Nonlinear Control, 2019, 29(3): 583−600 doi: 10.1002/rnc.4253
    [43] Zhang J X, Yang G H. Low-complexity tracking control of strict-feedback systems with unknown control directions. IEEE Transactions on Automatic Control, 2019, 64(12): 5175−5182 doi: 10.1109/TAC.2019.2910738
    [44] Zhang J X, Wang Q G, Ding W. Global output-feedback prescribed performance control of nonlinear systems with unknown virtual control coefficients. IEEE Transactions on Automatic Control, 2022, 67(12): 6904−6911 doi: 10.1109/TAC.2021.3137103
    [45] Cao L F, Fan X G, Li D W, Kong W B, Qu R H, Liu Z R. Improved LPTN-based online temperature prediction of permanent magnet machines by global parameter identification. IEEE Transactions on Industrial Electronics, 2023, 70(9): 8830−8841 doi: 10.1109/TIE.2022.3208600
    [46] Wang Y J, Wang T, Yang X B, Yang J E. Gradient descent-barzilai borwein-based neural network tracking control for nonlinear systems with unknown dynamics. IEEE Transactions on Neural Networks and Learning Systems, 2023, 34(1): 305−315 doi: 10.1109/TNNLS.2021.3093877
    [47] Tang F H, Niu B, Wang H Q, Zhang L, Zhao X D. Adaptive fuzzy tracking control of switched MIMO nonlinear systems with full state constraints and unknown control directions. IEEE Transactions on Circuits and Systems II: Express Briefs, 2022, 69(6): 2912−2916
    [48] Wang H Q, Kang S J, Zhao X D, Xu N, Li T S. Command filter-based adaptive neural control design for nonstrict-feedback nonlinear systems with multiple actuator constraints. IEEE Transactions on Cybernetics, 2022, 52(11): 12561−12570 doi: 10.1109/TCYB.2021.3079129
    [49] Cui G Z, Yu J P, Wang Q G. Finite-time adaptive fuzzy control for MIMO nonlinear systems with input saturation via improved command-filtered backstepping. IEEE Transactions on Systems, Man, and Cybernetics: Systems, 2022, 52(2): 980−989 doi: 10.1109/TSMC.2020.3010642
  • 加载中
图(10) / 表(1)
计量
  • 文章访问数:  1041
  • HTML全文浏览量:  543
  • PDF下载量:  368
  • 被引次数: 0
出版历程
  • 收稿日期:  2023-11-10
  • 录用日期:  2024-03-11
  • 网络出版日期:  2024-04-25
  • 刊出日期:  2024-05-29

目录

    /

    返回文章
    返回