• 中文核心
  • EI
  • 中国科技核心
  • Scopus
  • CSCD
  • 英国科学文摘

留言板

尊敬的读者、作者、审稿人, 关于本刊的投稿、审稿、编辑和出版的任何问题, 您可以本页添加留言。我们将尽快给您答复。谢谢您的支持!

姓名
邮箱
手机号码
标题
留言内容
验证码

基于输出反馈线性化的多移动机器人目标包围控制

寇立伟 项基

寇立伟, 项基. 基于输出反馈线性化的多移动机器人目标包围控制. 自动化学报, 2022, 48(5): 1285−1291 doi: 10.16383/j.aas.c200335
引用本文: 寇立伟, 项基. 基于输出反馈线性化的多移动机器人目标包围控制. 自动化学报, 2022, 48(5): 1285−1291 doi: 10.16383/j.aas.c200335
Kou Li-Wei, Xiang Ji. Target fencing control of multiple mobile robots using output feedback linearization. Acta Automatica Sinica, 2022, 48(5): 1285−1291 doi: 10.16383/j.aas.c200335
Citation: Kou Li-Wei, Xiang Ji. Target fencing control of multiple mobile robots using output feedback linearization. Acta Automatica Sinica, 2022, 48(5): 1285−1291 doi: 10.16383/j.aas.c200335

基于输出反馈线性化的多移动机器人目标包围控制

doi: 10.16383/j.aas.c200335
基金项目: 国家自然科学基金(62173295), 山西省基础研究计划青年项目(202103021223048), 工业控制技术国家重点实验室自主课题(ICT2021A18)资助
详细信息
    作者简介:

    寇立伟:浙江大学电气工程学院博士. 2015年获得华中科技大学学士学位. 主要研究方向为多智能体协同控制, 自主水下航行器控制. E-mail: koukou@zju.edu.cn

    项基:浙江大学电气工程学院教授, 工业控制技术国家重点实验室成员. 2005年获得浙江大学博士学位. 主要研究方向为自主无人船与航行器, 分布式优化和电力系统柔性控制. 本文通信作者. E-mail: jxiang@zju.edu.cn

Target Fencing Control of Multiple Mobile Robots Using Output Feedback Linearization

Funds: Supported by National Natural Science Foundation of China (62173295), Shanxi Basic Research Project (202103021223048), and Research Project of the State Key Laboratory of Industrial Control Technology (ICT2021A18)
More Information
    Author Bio:

    KOU Li-Wei Ph.D. at the College of Electrical Engineering, Zhejiang University. He received his bachelor degree from Huazhong University of Science and Technology in 2015. His research interest covers coordinated control of multi-agent systems and control of autonomous underwater vehicles

    XIANG Ji Professor at the College of Electrical Engineering, and has been a member of the State Key Laboratory of Industrial Control Technology, Zhejiang University. He received his Ph.D. degree from Zhejiang University in 2005. His research interest covers autonomous unmanned ships and underwater vehicles, distributed optimization, and flexible control of power systems. Corresponding author of this paper

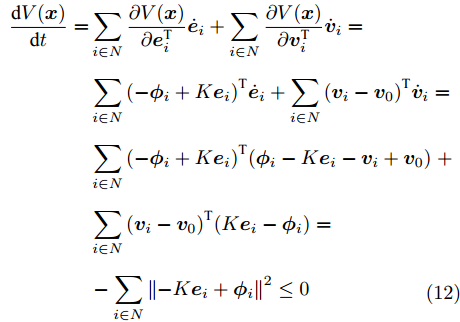
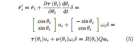
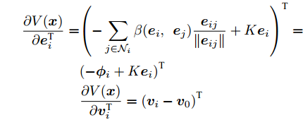
  • 摘要: 针对受非完整约束的多移动机器人系统的移动目标包围控制问题, 提出一种基于输出反馈线性化的局部协同控制方法. 利用机器人与邻居节点和目标的相对距离信息、角度信息以及机器人自身的方位角信息设计协同控制器. 该方法无需事先指定包围编队形状, 可实现对移动目标的速度估计, 且保证机器人之间的障碍规避. 严格的理论分析证明了移动目标指数收敛到多移动机器人构成的凸包内部. 最后, 仿真结果验证了所提控制方法的有效性.
  • 图  1  目标包围示意图

    Fig.  1  Illustration of target fencing

    图  2  目标包围控制中多移动机器人的轨迹

    Fig.  2  Trajectories of multiple mobile robots during target fencing control

    图  3  平均位置误差

    Fig.  3  Time evolution of the average position error

    图  4  机器人$i$$j$之间的相对距离

    Fig.  4  Time evolution of the relative distance between robot$i$and robot$j$

    图  5  速度估计

    Fig.  5  Time evolution of the velocity estimation

    图  6  机器人在世界坐标系下的速度

    Fig.  6  The robots' velocity in terms of global frame of reference

    图  7  机器人的方位角

    Fig.  7  The robots' bearing angle

  • [1] 洪奕光, 翟超. 多智能体系统动态协调与分布式控制设计. 控制理论与应用, 2011, 28(10): 1506-1512.

    Hong Yi-Guang, Zhai Chao. Dynamic coordination and distributed control design of multi-agent systems. Control Theory & Application, 2011, 28(10): 1506-1512.
    [2] Knorn S, Chen Z Y, Middleton R H. Overview: Collective control of multiagent systems. IEEE Transactions on Control of Network Systems, 2016, 3(4): 334-347. doi: 10.1109/TCNS.2015.2468991
    [3] 李玉玲, 杨洪勇, 刘凡, 杨怡泽. 带有不匹配干扰的二阶多自主体系统有限时间包容控制. 自动化学报, 2019, 45(9): 1783-1790.

    Li Yu-Ling, Yang Hong-Yong, Liu Fan, Yang Yi-Ze. Finite-time containment control of second-order multi-agent systems with mismatched disturbances. Acta Automatica Sinica, 2019, 45(9): 1783-1790.
    [4] 刘娟, 张皓, 王祝萍. 基于自触发的异构多智能体协同输出调节. 自动化学报, 2019, 45(10): 1893-1902.

    Liu Juan, Zhang Hao, Wang Zhu-Ping. Cooperative output regulation of heterogeneous multi-agent systems by self-triggered. Acta Automatica Sinica, 2019, 45(10): 1893-1902.
    [5] 刘凡, 杨洪勇, 杨怡泽, 李玉玲, 刘远山. 带有不匹配干扰的多智能体系统有限时间积分滑模控制. 自动化学报, 2019, 45(4): 749-758.

    Liu Fan, Yang Hong-Yong, Yang Yi-Ze, Li Yu-Ling, Liu Yuan-Shan. Finite-time integral sliding mode control for multi-agent systems with mismatched disturbances. Acta Automatica Sinica, 2019, 45(4): 749-758.
    [6] Huang Y, Duan M M, Mo L P. Multiagent containment control with nonconvex states constraints, nonuniform time delays, and switching directed networks. IEEE Transactions on Neural Networks and Learning Systems, 2019, 31(11): 5021-5028.
    [7] 金尚泰, 李澈, 任叶, 侯忠生. 未知异构非线性多智能体系统的无模型自适应编队控制述. 控制与决策, 2020, 35(6): 1519-1524.

    Jin Shang-Tai, Li Che, Ren Ye, Hou Zhong-Sheng. Model-free adaptive formation control for unknown heterogeneous nonlinear multi-agent systems. Control and Decision, 2020, 35(6): 1519-1524.
    [8] Chen F, Ren W, Cao Y C. Surrounding control in cooperative agent networks. Systems & Control Letters, 2010, 59(11): 704-712.
    [9] Lou Y C, Hong Y G. Distributed surrounding design of target region with complex adjacency matrices. IEEE Transactions on Automatic Control. 2015, 60(1): 283-288. doi: 10.1109/TAC.2014.2322917
    [10] Brockett R W. Differential Geometric Control Theory. Massachusetts: Birkhauser, 1983. 181−191
    [11] Yamamoto Y, Yun X. Coordinating locomotion and manipulation of a mobile manipulator. IEEE Transactions on Automatic Control. 1994, 39(6): 1326-1332. doi: 10.1109/9.293207
    [12] Arranz L, Seuret A, Pascoal A. Circular formation control for cooperative target tracking with limited information. Journal of the Franklin Institute, 2019, 356(4): 1771-1788. doi: 10.1016/j.jfranklin.2018.12.011
    [13] Paliotta C, Lefeber E, Pettersen K Y, Pinto J, Costa M, de Figueiredo Borges de Sousa J T. Trajectory tracking and path following for underactuated marine vehicles. IEEE Transactions on Control Systems Technology, 2019, 27(4): 1423-1437. doi: 10.1109/TCST.2018.2834518
    [14] Chen Z Y, Zhang H T. A remark on collective circular motion of jointly connected multi-agents. Automatica, 2011, 47(9): 1929-1937. doi: 10.1016/j.automatica.2011.03.012
    [15] Yu X, Liu L, Feng G. Distributed circular formation control of nonholonomic vehicles without direct distance measurements. IEEE Transactions on Automatic Control, 2018, 63(8): 2730-2737. doi: 10.1109/TAC.2018.2790259
    [16] Lan Y, Yan G F, Lin Z Y. Distributed control of cooperative target enclosing based on reachability and invariance analysis. Systems & Control Letters, 2010, 59(7): 381-389.
    [17] Frew E W, Lawrence D A, Morris S. Coordinated standoff tracking of moving targets using Lyapunov guidance vector fields. Journal of Guidance, Control, and Dynamics, 2008, 31(2): 290-306.
    [18] Yu X, Liu L. Cooperative control for moving-target circular formation of nonholonomic vehicles. IEEE Transactions on Automatic Control, 2017, 62(7): 3448-3454. doi: 10.1109/TAC.2016.2614348
    [19] Chen Z Y. A cooperative target-fencing protocol of multiple vehicles. Automatica, 2019, 107: 591-594. doi: 10.1016/j.automatica.2019.05.034
    [20] Isidori A. Nonlinear Control Systems. New York: Springer-Verlag, 1989. 147−161
    [21] Slotine J J E, Li W P. Applied Nonlinear Control. New Jersey: Prentice-Hall, 1991. 100−156
  • 加载中
图(7)
计量
  • 文章访问数:  1006
  • HTML全文浏览量:  646
  • PDF下载量:  331
  • 被引次数: 0
出版历程
  • 收稿日期:  2020-05-23
  • 录用日期:  2020-08-14
  • 网络出版日期:  2022-02-22
  • 刊出日期:  2022-05-13

目录

    /

    返回文章
    返回