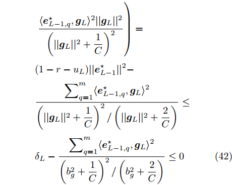
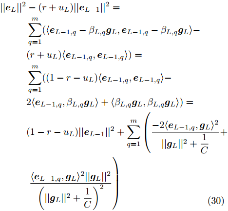
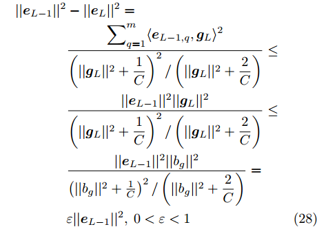
-
摘要:
主通风机切换过程中, 取压风量测量作为监测井下供给风量的主要手段, 是矿井主扇通风系统安全、稳定与经济运行的重要保障. 然而, 由于取压孔极易出现堵塞现象, 需要频繁维护, 导致无法实时测量井下供给风量, 难以实现主通风机切换过程的闭环优化控制. 同时, 随着隐含层节点数的增加, 基于随机配置网络(Stochastic configuration network, SCN)的估计模型存在过拟合和泛化能力差的缺点. 为了解决上述问题, 结合正则化(Regularization, R)技术, 本文提出一种新型的改进SCN算法, 即RSC算法, 用于井下供给风量的建模. 基准回归分析和工业实验表明: 与SCN方法相比, 建立的RSC模型具有较高的模型精度和较好的泛化性能.
Abstract:In a main fan switchover process (MFSP), airflow quantity measuring by pressure drop across a duct is the main means for monitoring the distribution of underground airflow quantity (UAQ). It ensures the safe, stable and economic operation of the mine main fan ventilation system. However, as the pressure port is prone to blocking and requires frequent maintenance, it is impossible to realize the real-time measurement of UAQ and closed-loop optimal control of MFSP. Meanwhile, with the increase of number of hidden nodes, the estimation model based on stochastic configuration network (SCN) has the disadvantages of overfitting and poor generalization ability. To solve the above problems, this paper develops a novel improved SCN algorithm by incorporating the regularization (R) technique called RSC algorithm. Benchmark regression analysis and industrial tests show that compared with SCN, the established RSC model possesses higher model accuracy and better generalization ability.
-
表 1 主通风机切换过程相关变量
Table 1 Related variables in the MFSP
变量 符号 单位 井下供给风量 $Q_{\rm 0}$ ${\rm m^3/s}$ 井下风阻 $R_{\rm 0}$ ${\rm kg/m^7}$ 一号垂直风门风量 $Q_{\rm 1c}$ ${\rm m^3/s}$ 一号垂直风门风阻 $R_{\rm 1c}$ ${ \rm kg/m^7}$ 一号水平风门风量 $Q_{\rm 1s}$ ${\rm m^3/s}$ 一号水平风门风阻 $R_{\rm 1s}$ ${\rm kg/m^7}$ 一号主通风机风量 $Q_{\rm 1m}$ ${\rm m^3/s}$ 一号主通风机压头 $H_{\rm 1d}$ ${\rm Pa}$ 二号垂直风门风量 $Q_{\rm 2c}$ ${\rm m^3/s}$ 二号垂直风门风阻 $R_{\rm 2c}$ ${\rm kg/m^7}$ 二号水平风门风量 $Q_{\rm 2s}$ ${\rm m^3/s}$ 二号水平风门风阻 $R_{\rm 2s}$ ${\rm kg/m^7}$ 二号主通风机风量 $Q_{\rm 2m}$ ${\rm m^3/s}$ 二号主通风机压头 $H_{\rm 2d}$ ${\rm Pa}$ 表 2 函数近似的性能比较
Table 2 Performance comparisons on the function approximation
算法 不同$L_{\max}$所对应的测试性能 (Mean, STD) 50 70 90 110 130 150 170 190 SCN-III 0.0315, 0.0032 0.0329, 0.0033 0.0388, 0.0048 0.0396, 0.0032 0.0459, 0.0043 0.0512, 0.0058 0.0526, 0.0048 0.0557, 0.0095 RSC-II 0.0229, 0.0019 0.0209, 0.0013 0.0209, 0.0008 0.0209, 0.0003 0.0210, 0.0005 0.0211, 0.0004 0.0213, 0.0004 0.0218, 0.0003 表 3 回归数据集与参数设置
Table 3 Specifications of benchmark problems and some parameter settings
数据集 属性 输出 训练数据 测试数据 ${\lambda_{\min}}$ ${\Delta\lambda}$ Wine Quality 12 1 3918 980 1 0.1 Concrete 9 1 772 258 1 0.1 Yacht 7 1 227 81 1 1 Airfoil Self-noise 6 1 1352 151 1 0.1 表 4 对基准数据集的性能对比
Table 4 Performance comparisons on benchmark datasets
数据集 算法 不同$L_{\max}$所对应的测试性能 (Mean, STD) 50 70 90 110 130 150 170 190 (a) SCN-III 0.2476, 0.0233 0.2546, 0.0531 0.2543, 0.0492 0.2559, 0.0464 0.2908, 0.0612 0.2997, 0.0841 0.3480, 0.1484 0.3934, 0.1886 RSC-II 0.2232, 0.0011 0.2229, 0.0014 0.2229, 0.0016 0.2225, 0.0016 0.2231, 0.0017 0.2235, 0.0022 0.2236, 0.0021 0.2238, 0.0021 (b) SCN-III 0.4017, 0.1060 0.5209, 0.1587 0.7120, 0.2247 0.7739, 0.2010 0.8640, 0.2324 1.3580, 0.7945 1.4025, 0.4526 1.6700, 0.5415 RSC-II 0.2248, 0.0068 0.2277, 0.0059 0.2295, 0.0094 0.2295, 0.0076 0.2323, 0.0089 0.2341, 0.0090 0.2384, 0.0063 0.2416, 0.0056 (c) SCN-III 0.3167, 0.2289 0.3528, 0.1436 0.3820, 0.1781 0.6620, 0.2900 0.9062, 0.5600 1.2226, 0.3571 2.7450, 1.1718 4.0242, 1.0377 RSC-II 0.1308, 0.0209 0.1216, 0.0107 0.1197, 0.0152 0.1168, 0.0111 0.1164, 0.0118 0.1113, 0.0117 0.1056, 0.0112 0.1066, 0.0113 (d) SCN-III 0.2607, 0.0313 0.3489, 0.1007 0.4332, 0.1219 0.6615, 0.2487 1.2668, 0.4213 1.4295, 0.5883 1.8264, 0.5194 2.0539, 0.9744 RSC-II 0.2281, 0.0091 0.2378, 0.0147 0.2332, 0.0153 0.2395, 0.0214 0.2443, 0.0279 0.2615, 0.0402 0.2437, 0.0234 0.2848, 0.0512 表 5 在实际MFSP数据集上的性能对比
Table 5 Performance comparisons on the actual MFSP dataset
算法 不同$L_{\max}$所对应的测试性能 (Mean, STD) 50 110 170 230 270 330 370 410 SCN-III 0.0287, 0.0029 0.0494, 0.0039 0.0623, 0.0069 0.0758, 0.0063 0.0837, 0.0059 0.0983, 0.0107 0.1033, 0.0096 0.1146, 0.0095 RSC-II 0.0269, 0.0021 0.0316, 0.0017 0.0372, 0.0035 0.0411, 0.0046 0.0424, 0.0047 0.0454, 0.0066 0.0460, 0.0054 0.0509, 0.0077 -
[1] 杨校卫, 韩传功, 何胜良, 等. 一种煤矿老通风系统不停风倒机装置, 中国专利CN208456655U, 2019年2月1日 [2] Chatterjee Arnab, Zhang Li-Jun, Xia Xiao-Hua. Optimization of mine ventilation fan speeds according to ventilation on demand and time of use tariff. Applied Energy, 2015, 146: 65-73 doi: 10.1016/j.apenergy.2015.01.134 [3] Wu X Z, Ma X P, Ren Z H. Study on coal mine main fan automatic switchover aiming at ventilation unceasing and its numerical simulation. In: Proceedings of the 2nd International Asia Conference on Informatics in Control, Automation and Robotics. Wuhan, China: IEEE, 2010. 2: 227−230 [4] Ge Heng-Qing, Ma Xiao-Ping, Wu Xin-Zhong, Liang Chun. Study on mine main fan switchover aiming at invariant ventilation based on nonlinear constrained programming. International Journal of Digital Content Technology and Its Applications, 2012, 6(17): 496-505 doi: 10.4156/jdcta.vol6.issue17.54 [5] 王前进, 代伟, 杨春雨, 马小平. 煤矿主通风机切换系统建模与分析. 煤炭学报, 2018, 43(S2): 606-614. DOI: 10.13225/j.cnki.jccs.2017.1509Wang Qian-Jin, Dai Wei, Yang Chun-Yu, Ma Xiao-Ping. Modeling and analysis of coal mine main fan switchover system. Journal of China Coal Society, 2018, 43(S2): 606-614. DOI: 10.13225/j.cnki.jccs.2017.1509 [6] Wang Qian-Jin, Ma Xiao-Ping, Yang Chun-Yu, Dai Wei. Modeling and control of mine main fan switchover system. ISA Transactions, 2019, 85: 189-199 doi: 10.1016/j.isatra.2018.10.024 [7] 任子晖, 王翠, 倪婷婷, 成江洋. 基于神经网络不停风倒机风量变化的研究. 煤炭技术, 2016, 35(11): 229-231Ren Zi-Hui, Wang Cui, Ni Ting-Ting, Cheng Jiang-Yang. Research on air volume of reversing without stopping ventilation based on neural network. Coal Technology, 2016, 35(11): 229-231 [8] Zou Wei-Dong, Xia Yuan-Qing, Li Hui-Fang. Fault diagnosis of tennessee-eastman process using orthogonal incremental extreme learning machine based on driving amount. IEEE Transactions on Cybernetics, 2018, 48(12): 3403-3410 doi: 10.1109/TCYB.2018.2830338 [9] 韩敏, 李德才. 基于替代函数及贝叶斯框架的1范数ELM算法. 自动化学报, 2011, 37(11): 1344-1350Han Min, Li De-Cai. An norm 1 regularization term ELM algorithm based on surrogate function and bayesian framework. Acta Automatica Sinica, 2011, 37(11): 1344-1350 [10] 邹伟东, 夏元清. 基于压缩动量项的增量型ELM虚拟机能耗预测. 自动化学报, 2019, 45(7): 1290-1297Zou Wei-Dong, Xia Yuan-Qing. Virtual machine power prediction using incremental extreme learning machine based on compression driving amount. Acta Automatica Sinica, 2019, 45(7): 1290-1297 [11] 陈晓云, 廖梦真. 基于稀疏和近邻保持的极限学习机降维. 自动化学报, 2019, 45(2): 325-333Chen Xiao-Yun, Liao Meng-Zhen. Dimensionality reduction with extreme learning machine based on sparsity and neighborhood preserving. Acta Automatica Sinica, 2019, 45(2): 325-333 [12] Li Ming, Wang Dian-Hui. Insights into randomized algorithms for neural networks: Practical issues and common pitfalls. Information Sciences, 2017, 382: 170-178 [13] Wang Dian-Hui, Li Ming. Stochastic configuration networks: Fundamentals and algorithms. IEEE Transactions on Cybernetics, 2017, 47(10): 3466-3479 doi: 10.1109/TCYB.2017.2734043 [14] 王前进, 马小平, 张守田. PLC软冗余在通风机监控系统中的应用. 工矿自动化, 2014, 40(1): 93-96Wang Qian-Jin, Ma Xiao-Ping, Zhang Shou-Tian. Application of PLC soft redundancy in monitoring and control system for ventilator. Industry and Mine Automation, 2014, 40(1): 93-96 [15] Ge H Q, Ma X P, Wu X Z, Zhang J. Fuzzy PID control of mine main fan switchover aiming at invariant ventilation. In: Proceedings of the 2011 International Conference on Intelligence Science and Information Engineering. Wuhan, China: IEEE, 2011. 325−328 [16] Wang Qian-Jin, Dai Wei, Ma Xiao-Ping, Yang Chun-Yu. Multiple models and neural networks based adaptive PID decoupling control of mine main fan switchover system. Iet Control Theory & Applications, 2018, 12(4): 446-455 [17] Ge Heng-Qing, Xu Guang, Huang Jin-Xin, Ma Xiao-Ping. A mine main fans switchover system with lower air flow volatility based on improved particle swarm optimization algorithm. Advances in Mechanical Engineering, 2019, 11(3): 1687814019829281 [18] L. Ray Allen, Couse Derek. Cement plant fan efficiency upgrades. IEEE Transactions on Industry Applications, 2017, 53(2): 1562-1568 doi: 10.1109/TIA.2016.2631526 [19] Papar R, Szady A, Huffer W D, Martin V, McKane A. Increasing Energy Efficiency of Mine Ventilation Systems. Industrial Energy Analysis, Lawrence Berkeley National Laboratory, University of California, 1999. [20] Zhu Song, Chang Wen-Ting, Liu Dan. Almost sure exponential stability of stochastic fluid networks with nonlinear control. International Journal of Control, 2018, 91(2): 400-410 doi: 10.1080/00207179.2017.1282626 [21] Camilleri Robert, Howey David A., McCulloch Malcolm D.. Predicting the temperature and flow distribution in a direct oil-cooled electrical machine with segmented stator. IEEE Transactions on Industrial Electronics, 2016, 63(1): 82-91 doi: 10.1109/TIE.2015.2465902 [22] Abareshi Maryam, Hosseini Seyed Mahmood, Sani Ahmad Aftabi. A simple iterative method for water distribution network analysis. Applied Mathematical Modelling, 2017, 52: 274-287 doi: 10.1016/j.apm.2017.07.053 [23] Gorban Alexander N., Tyukin Ivan Yu., Prokhorov Danil V., Sofeikov Konstantin I.. Approximation with random bases: Pro et Contra. Information Sciences, 2016, 364: 129-145 [24] Lichman M. UCI machine learning repository [Online] available: http://archive.ics.uci.edu/ml, January 1, 2013 -
下载:





