• 中文核心
  • EI
  • 中国科技核心
  • Scopus
  • CSCD
  • 英国科学文摘

留言板

尊敬的读者、作者、审稿人, 关于本刊的投稿、审稿、编辑和出版的任何问题, 您可以本页添加留言。我们将尽快给您答复。谢谢您的支持!

姓名
邮箱
手机号码
标题
留言内容
验证码

通信延时环境下异质网联车辆队列非线性纵向控制

李永福 何昌鹏 朱浩 郑太雄

李永福, 何昌鹏, 朱浩, 郑太雄. 通信延时环境下异质网联车辆队列非线性纵向控制. 自动化学报, 2021, 47(12): 2841−2856 doi: 10.16383/j.aas.c190442
引用本文: 李永福, 何昌鹏, 朱浩, 郑太雄. 通信延时环境下异质网联车辆队列非线性纵向控制. 自动化学报, 2021, 47(12): 2841−2856 doi: 10.16383/j.aas.c190442
Li Yong-Fu, He Chang-Peng, Zhu Hao, Zheng Tai-Xiong. Nonlinear longitudinal control for heterogeneous connected vehicle platoon in the presence of communication delays. Acta Automatica Sinica, 2021, 47(12): 2841−2856 doi: 10.16383/j.aas.c190442
Citation: Li Yong-Fu, He Chang-Peng, Zhu Hao, Zheng Tai-Xiong. Nonlinear longitudinal control for heterogeneous connected vehicle platoon in the presence of communication delays. Acta Automatica Sinica, 2021, 47(12): 2841−2856 doi: 10.16383/j.aas.c190442

通信延时环境下异质网联车辆队列非线性纵向控制

doi: 10.16383/j.aas.c190442
基金项目: 国家自然科学基金(61773082), 重庆市重点研发项目基金(cstc2018jszxcyzdX0064), 重庆市重点基金(cstc2017jcyjBX0018), 国家重点研发计划(2016YFB0100906, 2018YFB1600500), 重庆邮电大学重点专项基金(A2018-02)资助
详细信息
    作者简介:

    李永福:博士, 重庆邮电大学自动化学院教授, 智能空地协同控制重庆市高校重点实验室主任. 主要研究方向为智能网联汽车和空地协同控制. 本文通信作者. E-mail: liyongfu@cqupt.edu.cn

    何昌鹏:重庆邮电大学自动化学院硕士研究生. 主要研究方向为车辆队列控制. E-mail: mrchangpeng@163.com

    朱浩:博士, 重庆邮电大学自动化学院副教授. 主要研究方向为智能车环境感知与信息融合. E-mail: zhuhao@cqupt.edu.cn

    郑太雄:博士, 重庆邮电大学先进制造工程学院教授. 主要研究方向为车辆动力学与控制. E-mail: zhengtx@cqupt.edu.cn

Nonlinear Longitudinal Control for Heterogeneous Connected Vehicle Platoon in the Presence of Communication Delays

Funds: Supported by National Natural Science Foundation of China (61773082), Key Project of Chongqing (cstc2018jszxcyzdX0064), Key Natural Science Foundation of Chongqing (cstc2017jcyjBX0018), National Key Research and Development Program of China (2016YFB0100906, 2018YFB1600500), and Key Project of Chongqing University of Posts and Telecommunications (A2018-02)
More Information
    Author Bio:

    LI Yong-Fu Ph.D., professor at the College of Automation, Chongqing University of Posts and Telecommunications. His research interest covers connected and automated vehicles and air-ground cooperative control. Corresponding author of this paper

    HE Chang-Peng Master student at the College of Automation, Chongqing University of Posts and Telecommunications. His research interest covers platoon control of vehicles

    ZHU Hao Ph.D., associate professor at the College of Automation, Chongqing University of Posts and Telecommunications. His research interest covers environmental perception of intelligent vehicles and information fusion

    ZHENG Tai-Xiong Ph.D., professor at the College of Advanced Manufacturing Engineering, Chongqing University of Posts and Telecommunications. His research interest covers vehicle dynamics and control

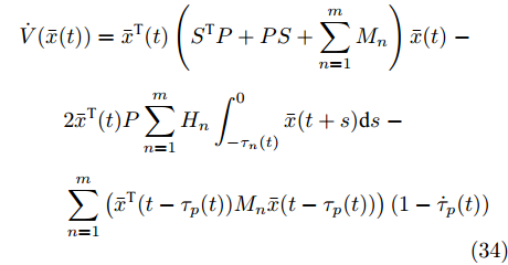
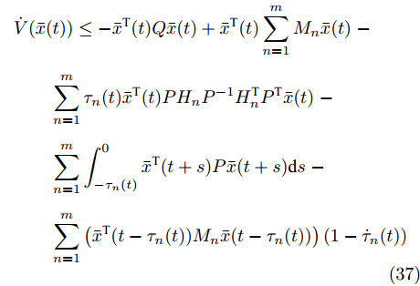
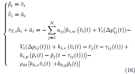
  • 摘要: 针对通信延时环境下的异质车辆队列控制问题, 本文提出了一种基于三阶模型的分布式非线性车辆队列纵向控制器. 首先, 基于三阶动力学模型描述了车辆的异质特性. 考虑车辆跟驰行为以及异质通信延时, 提出一种通信延时环境下的异质车辆队列非线性控制器. 所提控制器不仅可以在通信延时以及车辆异质特性的影响下实现队列中车辆的位置、速度以及加速度的一致性, 而且可以有效避免负的车辆间距和不合理的加/减速度, 保证车辆的运动行为符合交通流理论. 然后, 利用Lyapunov-Krasovskii定理对车辆队列的稳定性进行分析, 得出车辆队列的稳定性条件和通信延时上界. 最后, 所提控制器的有效性和稳定性通过数值仿真得到验证.
    1)  收稿日期 2019-06-06    录用日期 2019-10-28 Manuscript received June 6, 2019; accepted October 28, 2019 国家自然科学基金 (61773082), 重庆市重点研发项目基金 (cstc2018jszxcyzdX0064), 重庆市重点基金 (cstc2017jcyjBX0018), 国家重点研发计划 (2016YFB0100906 , 2018YFB1600500) , 重庆邮电大学重点专项 基金(A2018-02) 资助 Supported by National Natural Science Foundation of China (61773082), Key Project of Chongqing under (cstc2018jszxcyzdX0064), Key Natural Science Foundation of Chongqing (cstc2017jcyjBX0018), National Key Research and development Program of China (2016YFB0100906 and 2018YFB1600500), and Key Project of chonging university of Posts and Teleconnunications, (A2018-02) 本文责任编委 吕宜生 Recommended by Associate Editor WU Yan-Hua 1.重庆邮电大学自动化学院智能空地协同控制重庆市高校重点实验室 重庆 400065 1.Key Laboratory of Intelligent Air-Ground Cooperative Control
    2)  for Universities in Chongqing, College of Automation, Chongqing University of Posts and Telecommunications, Chongqing 400065
  • 图  1  车辆队列

    Fig.  1  Vehicle platoon

    图  2  通信拓扑结构

    Fig.  2  Communication topology

    图  3  PLF拓扑下车辆队列的位置图

    Fig.  3  Position profile for a platoon under PLF topology

    图  6  PLF拓扑下车辆队列的间距误差图

    Fig.  6  Spacing error profile for a platoon under PLF topology

    图  4  PLF拓扑下车辆队列的速度图

    Fig.  4  Velocity profile for a platoon under PLF topology

    图  5  PLF拓扑下车辆队列的加速度图

    Fig.  5  Acceleration profile for a platoon under PLF topology

    图  7  TPF拓扑下车辆队列的位置轨迹图

    Fig.  7  Position trajectory profile for a platoon under TPF topology

    图  10  TPF拓扑下车辆队列的间距误差图

    Fig.  10  Spacing error profile for a platoon under TPF topology

    图  8  TPF拓扑下车辆队列的速度图

    Fig.  8  Velocity profile for a platoon under TPF topology

    图  9  TPF拓扑下车辆队列的加速度图

    Fig.  9  Acceleration profile for a platoon under TPF topology

    表  1  控制器参数

    Table  1  Controller parameters

    参数 单位 参数 单位
    $l_{i} $ $l_{1}=4.1$, $l_{2}=4$, $l_{3}=4.2$, $l_{4}=4.5$, $l_{5}=4.3$, $l_{6}=4.8$, $l_{7}=5$ m $g_{s} $ 10 m
    $\tau _{T,i} $ $\tau_{T,1} =0.4$, $\tau _{T,2}=0.55$, $\tau_{T,3}=0.32$, $\tau _{T,4} =0.44$,
    $\tau _{T,5}=0.38$,$\tau_{T,6} =0.51$, $\tau _{T,7} =0.29$
    s $h_{ij} $ 0.8 s
    $k_{i,w} $ 0.1 $V_{1} $ 0.675 m/s
    $k_{i,v} $ 0.9 $V_{2} $ 7.91 m/s
    $ k_{i,p} $ $k_{0,p} =k_{1,p} =0.8$, $k_{2,p}=0.28$, $k_{3,p} =0.32$,
    $k_{4,p} =0.19$, $k_{5,p} =0.18$, $k_{6,p}=0.176$, $k_{7,p} =0.176$
    $C_{1} $ 0.13 m−1
    $\tau ^{{\rm *}} $ $10.32\times 10^{-2} $ s $C_{2} $ 1.57
    下载: 导出CSV
  • [1] Van Arem B, Van Driel G, Visser R. The impact of cooperative adaptive cruise control on traffic-flow characteristics. IEEE Transact ions on Intelligent Transportation Systems, 2006, 7(4): 429-436 doi: 10.1109/TITS.2006.884615
    [2] Varaiya P. Smart cars on smart roads: problems of control. IEEE Transactions on Automatic Control, 1993, 38(2): 195-207 doi: 10.1109/9.250509
    [3] Zhang J P, Wang F Y, Wang K F, Lin W H, Xu X, Chen C. Data-driven intelligent transportation systems: a survey. IEEE Transactions on Intell igent Transportation Systems, 2011, 12(4): 1624-1639 doi: 10.1109/TITS.2011.2158001
    [4] Ren W. Consensus based formation control strategies for multi-vehicle systems. In: Proceedings of the 25th American Control Conference. Minnesota, USA: IEEE, 2006. 4237−4242
    [5] Guo G and Wen S. Communication scheduling and control of a platoon of vehicles in vanets. IEEE Transactions on Intelligent Transportation Systems, 2016, 17(6): 1551-1563 doi: 10.1109/TITS.2015.2505407
    [6] Liu Y, Pan C, Gao H, Guo G. Cooperative spacing control for interconnecte d vehicle systems with input delays. IEEE Transactions on Vehicular Technology, 2017, 66(12): 10692-10704 doi: 10.1109/TVT.2017.2712146
    [7] Zheng Y, Li S E, Wang J Q, Cao D P, Li K Q. Stability and scalability of homogeneous vehicular platoon: study on the influence of information flow topologies. IEEE Transactions on Intelligent Transportation Systems, 2016, 17 (1): 14-26 doi: 10.1109/TITS.2015.2402153
    [8] Li Y F, Tang C C, Li K Z, Peeta S, He X Z, Wang Y B. Nonlinear finite-time consensus-based connected vehicle platoon control under fixed and switching communication topologies. Transportation Research Part C: Emerging Technologies, 2018, 19 : 525-543
    [9] Guo G, Wang L. Control over medium-constrained vehicular networks with fading channels and random access protocol: a networked systems approach. IEEE Transactions on Vehicular Technology, 2015, 64(8): 3347-3358 doi: 10.1109/TVT.2014.2360438
    [10] Peters A A, Middleton R H, Mason O. Leader tracking in homogeneous vehicle platoons with broadcast delays. Automatica, 2014, 50(1): 64-74 doi: 10.1016/j.automatica.2013.09.034
    [11] Wen S X, Guo G, Chen B, Gao X. Event-triggered cooperative control of vehicle platoons in vehicular ad hoc networks. Information Sciences, 2018, 459: 341-353 doi: 10.1016/j.ins.2018.02.051
    [12] Jia D Y, Ngoduy D. Platoon based cooperative driving model with consideration of realistic inter-vehicle communication. Transportation Research Part C: Emerging Technologies, 2016, 68: 245-264 doi: 10.1016/j.trc.2016.04.008
    [13] Guo G, Yue W. Hierarchical platoon control with heterogeneous information feedback. IET Control Theory & Applications, 2011, 5(15): 1766-1781
    [14] Li Y F, Tang C C, Li K Z, He X Z, Peeta S, Wang Y B. Consensus-based cooperative control for multi-platoon under the connected vehicles environment. IEEE Transactions on Intelligent Transportation Systems, 2019, 20(6): 2220-2229 doi: 10.1109/TITS.2018.2865575
    [15] Ma Y, Li Z, Malekian R, Zhang R, Song X, Sotelo M A, Hierarchical fuzzy logic-based variable structure control for vehicles platooning. IEEE Transactions on Intelligent Transportation Systems, 2019, 20(4): 1329-1340 doi: 10.1109/TITS.2018.2846198
    [16] Zheng Y, Bian Y G, Li S, Li S E. Cooperative control of heterogeneous connected vehicles with directed acyclic interactions. IEEE Intelligent Transportation Systems Magazine, 2021, 13(2): 127−141
    [17] Guo G, Yue W. Sampled-data cooperative adaptive cruise control of vehicles with sensor failures. IEEE Transactions on Intelligent Transportation Systems, 2014, 15 (6): 2404-2418 doi: 10.1109/TITS.2014.2316016
    [18] Wen S X, Guo G, Chen B, Gao X. Cooperative adaptive cruise control of vehicles using a resource-efficient communication mechanism. IEEE Transactions on Intelligent Vehicles, 2019, 4(1): 127-140 doi: 10.1109/TIV.2018.2886676
    [19] Zhu Y, Zhu F. Distributed adaptive longitudinal control for uncertain third-order vehicle platoon in a networked environment. IEEE Transactions on Vehicular Technology, 2018, 67 (10): 9183-9197 doi: 10.1109/TVT.2018.2863284
    [20] Lunze J. Adaptive cruise control with guaranteed collision avoidance. IEEE Transactions on Intelligent Transportation Systems, 2019, 20(5): 1897-1907 doi: 10.1109/TITS.2018.2842115
    [21] Li Y F, Tang C C, Peeta S, Wang Y B. Integral-sliding-mode braking control for connected vehicle platoon: theory and application. IEEE Transactions on Industrial Electronics, 2019, 66(6): 4618-4628 doi: 10.1109/TIE.2018.2864708
    [22] Li Y F, Tang C C, Peeta S, Wang Y B. Nonlinear consensus-based connected vehicle platoon control incorporating car-following interactions and heterogeneous time delays. IEEE Transactions on Intelligent Transportation Systems, 2019, 20(6): 2209-2219 doi: 10.1109/TITS.2018.2865546
    [23] Xiao L Y, Gao F. Practical string stability of platoon of adaptive cruise control vehicles. IEEE Transactions on Intelligent Transportation Systems, 2011, 12(4): 1184-1194 doi: 10.1109/TITS.2011.2143407
    [24] Di Bernardo M, Salvi A, Santini S. Distributed consensus strategy for platooning of vehicles in the presence of time-varying heterogeneous communication delays. IEEE Transactions on Intelligent Transportation Systems, 2015, 16(1): 102-112 doi: 10.1109/TITS.2014.2328439
    [25] Gu K, Kharitonov V L, Chen J. Stability of Time-Delay Systems. Boston: Birkhäuser, 2012. 147−195
    [26] Jiang R, Wu Q S, Zhu Z J. Full velocity difference model for a car-following theory. Physical Review E, 2001, 64(1): 17101-17105 doi: 10.1103/PhysRevE.64.017101
    [27] Horn R A, Johnson C R. Matrix Analysis. Cambridge: Cambridge University Press, 1987. 517−527
    [28] Salvi A, Santini S, Valente A S. Design, analysis and performance evaluation of a third order distributed protocol for platooning in the presence of time-varying delays and switching topologies. Transportation Research Part C: Emerging Technologies, 2017, 80: 360-383 doi: 10.1016/j.trc.2017.04.013
    [29] Feng S, Zhang Y, Li S E, Cao Z, Liu H X, Li L. String stability for vehicular platoon control: Definitions and analysis methods. Annual Reviews in Control, 2019, 47: 81-97 doi: 10.1016/j.arcontrol.2019.03.001
    [30] Alasmary W, Zhuang W H. Mobility impact in IEEE 802.11p infrastructureless vehicular networks. Ad Hoc Networks, 2012, 10(2): 222-230 doi: 10.1016/j.adhoc.2010.06.006
  • 加载中
图(10) / 表(1)
计量
  • 文章访问数:  1574
  • HTML全文浏览量:  631
  • PDF下载量:  412
  • 被引次数: 0
出版历程
  • 收稿日期:  2019-06-06
  • 录用日期:  2019-10-28
  • 网络出版日期:  2021-11-03
  • 刊出日期:  2021-12-23

目录

    /

    返回文章
    返回